搜索
题目内容
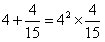
已知
,
,
,…,若
(a、b为正整数),计算a+b的值
试题答案
相关练习册答案
解:∵
,
,
,
∴3=2
2
-1 8=3
2
-1 15=4
2
-1
∴b=a
2
-1 a=10 ∴a+b=10+10
2
-1= 109
练习册系列答案
课课练与单元测试系列答案
世纪金榜小博士单元期末一卷通系列答案
单元测试AB卷台海出版社系列答案
黄冈新思维培优考王单元加期末卷系列答案
名校名师夺冠金卷系列答案
小学英语课时练系列答案
培优新帮手系列答案
天天向上一本好卷系列答案
小学生10分钟应用题系列答案
课堂作业广西教育出版社系列答案
相关题目
27、已知一条射线OA,若从点O再引两条射线OB和OC,使∠AOB=50°,∠BOC=10°,求∠AOC的度数.
已知函数y=
-1.5
x
,若y=-3,则x的取值为
.
(2013•绵阳)已知整数k<5,若△ABC的边长均满足关于x的方程x
2
-3
k
x+8=0,则△ABC的周长是
6或12或10
6或12或10
.
已知
3
0.214
=0.5981,若
3
x
=5.981,则x=
214
214
.
已知8.6
2
=73.96,若x
2
=0.7396,则x的值等于( )
A.86
B.8.6
C.±0.86
D.±86
关 闭
试题分类
高中
数学
英语
物理
化学
生物
地理
初中
数学
英语
物理
化学
生物
地理
小学
数学
英语
其他
阅读理解答案
已回答习题
未回答习题
题目汇总
试卷汇总
练习册解析答案