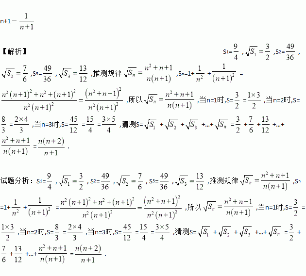
题目内容
设, , ,…, .设…,则S=____________ (用含n的代数式表示,其中n为正整数).
在物理学中,电流做功的功率P=I2R,试用含P,R的式子表示I,并求当P=25、R=4时,I的值.
如图,四边形ABCD是平行四边形,BD⊥AD,求BC,CD及OB的长.
如图,在平行四边形ABCD中,下列各式不一定正确的是 ( ).
(A) (B)
(C) (D)
解不等式:.
如果最简根式与是同类二次根式,那么使有意义的x的取值范围是( )
A. x≤10 B. x≥10 C. x<10 D. x>10
若等腰三角形的两边长分别为和,则这个三角形的周长为( )
A. B. 或 C. D.
在Rt△ABC中,∠C=90°,∠B=30°,最短边长为5cm,则最长边上的中线长是( )
A.5cm
B.15cm
C.10cm
D.2.5cm
设点P的坐标是(1+,-2+a),则点P在 ( )
A. 第一象限 B. 第二象限 C. 第三象限 D. 第四象限