题目内容
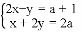
已知方程组与有相同的解,求m,n的值.
下列各组数据中的三个数作为三角形的边长,其中能构成直角三角形的是( )
A. B. 1,
C. 6,7,8 D. 2,3,4
正比例函数y=2kx的图象如图所示,则y=(k-2)x+1-k的图象大致是( )
A. B.
C. D.
下列各式计算正确的是( )
A. += B. 4-3=1 C. 2×3=6 D. ÷=3
下列各数是无理数的是( )
A. B. - C. π D. -1
当a=_______时,关于x,y的方程组的解中x与y相等.
已知和满足方程y=kx-b,则k、b的值为( )
A. -5,-7 B. -5,-5 C. 5,3 D. 5,7
如图,从边长为a的大正方形中剪掉一个边长为b的小正方形,将阴影部分沿虚线剪开,拼成右边的矩形.根据图形的变化过程写出的一个正确的等式是( )
A. (a-b)2=a2-2ab+b2 B. a(a-b)=a2-ab
C. (a-b)2=a2-b2 D. a2-b2=(a+b)(a-b)
如图,已知和的图象交于点P,根据图象可得关于X、Y的二元一次方程组的解是_________________.