题目内容
若(m2+n2)(1-m2-n2)+6=0,则m2+n2的值为________.
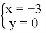
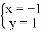
方程x﹣2y=﹣3和2x+3y=1的公共解是( )
A. B. C. D.
不等式﹣3≤5﹣2x<3的正整数解是 .
(12分)如图,矩形ABCD,AB=6cm,AD=2cm,点P以2cm/s的速度从顶点A出发沿折线A-B-C向点C运动,同时点Q以lcm/s的速度从顶点C出发向点D运动,当其中一个动点到达末端停止运动时,另一点也停止运动.
(1)问两动点运动几秒,使四边形PBCQ的面积是矩形ABCD面积的;
(2)问两动点经过多长时间使得点P与点Q之间的距离为?若存在,
求出运动所需的时间;若不存在,请说明理由.
用适当的方法解下列方程:
(1)(x+1)(x-2)=x-2;
(2)(2x+1)2=x2+2.
某品牌服装原价173元,连续两次降价后售价价为127元,下面所列方程中正确的是( )
A. B.
C. D.
如图,OABC是一张放在平面直角坐标系中的矩形纸片,O为原点,点A在x轴的正半轴上,点C在y轴的正半轴上,OA=10,OC=8.在OC边上取一点D,将纸片沿AD翻折,使点O落在BC边上的点E处,求D,E两点的坐标.
点M(3,1)关于x轴对称的点的坐标为( )
A. (-3,1) B. (3,-1) C. (1,-3) D. (-3,-1)
对于二次函数y=x2+mx+1,当0<x≤2时的函数值总是非负数,则实数m的取值范围为( )
A. m≥﹣2 B. ﹣4≤m≤﹣2 C. m≥﹣4 D. m≤﹣4或m≥﹣2