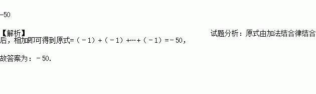
题目内容
101﹣102+103﹣104+…+199﹣200=______.
练习册系列答案
相关题目
如图,将一张三角形形纸片剪成四个小三角形,然后将其中的一个小三角形再按同样的方法剪成四个小三角形,……,如此循环进行下去.
![]()
(1)填表:
次数 | 1 | 2 | 3 | 4 | … |
个数 | 4 | 7 | ①_______ | ②______ | … |
(2)填空:剪
次,共剪出_________个三角形.
(3)能否经过若干次分割后共得到2016片纸片?若能,请直接写出相应的次数;若不能,请说明理由.