题目内容
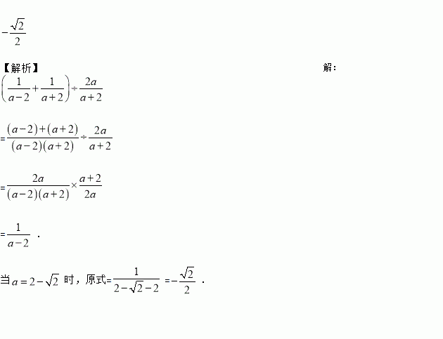
先化简,再求值: ,其中
如图,正方形网格中的每个小正方形的边长都是1,每个小正方形的顶点叫格点,以格点为顶点,①在图1中画出边长分别为:3,2, 的三角形(不写画法);②在图2中画出边长分别为,4, ,4的平行四边形(不写画法).
下列运算正确的是( )
A. B. C. D.
如图17-Z-1,数轴上点A,B分别对应1,2,过点B作PQ⊥AB.以点B为圆心,AB长为半径画弧,交PQ于点C,以原点O为圆心,OC长为半径画弧,交数轴于点M,则点M对应的数是( )
图17-Z-1
某校学生会发现同学们就餐时剩余饭菜较多,浪费严重,于是准备在校内倡导“光盘行动”,让同学们珍惜粮食,为了让同学们理解这次活动的重要性,校学生会在某天午餐后,随机调查了部分同学这餐饭菜的剩余情况,并将结果统计后绘制成了如图所示的不完整的统计图.
(1)这次被调查的同学共有 _________ 名;
(2)把条形统计图补充完整;
(3)校学生会通过数据分析,估计这次被调查的所有学生一餐浪费的食物可以供200人用一餐.据此估算,该校18 000名学生一餐浪费的食物可供多少人食用一餐?
分解因式: _____________.
在下列正方体的表面展开图中,剪掉1个正方形(阴影部分),剩余5个正方形组成中心对称图形的是
A. B. C. D. .
如图,将一块含有30o角的直角三角板的两个顶点叠放在矩形的两条对边上.如果,那么的度数为( )
如图,在矩形ABCD中,点E,F分别在边AB,BC上,且AE=AB,将矩形沿直线EF折叠,点B恰好落在AD边上的点P处,连接BP交EF于点Q,对于下列结论:①EF=2BE;②PF=2PE;③FQ=4EQ;④△PBF是等边三角形.其中正确的是( )
A. ①② B. ②③ C. ①③ D. ①④