题目内容
如图,已知二次函数y=x2-2x-1的图象的顶点为A.二次函数y=ax2+bx的图象与x轴交于原点O及另一点C,它的顶点B在函数y=x2-2x-1的图象的对称轴上.(1)求点A与点C的坐标;
(2)当四边形AOBC为菱形时,求函数y=ax2+bx的关系式.
【答案】分析:(1)二次函数y=ax2+bx的顶点在已知二次函数抛物线的对称轴上,可知两个函数对称轴相等,因此先根据已知函数求出对称轴. y=x2-2x-1=(x-1)2-2,所以顶点A的坐标为(1,-2)对称轴为x=1,
所以二次函数y=ax2+bx关于x=1对称,且函数与x轴的交点分别是原点和C点,
所以点C和点O关于直线l对称,所以点C的坐标为(2,0);
(2)因为四边形AOBC是菱形,根据菱形性质,可以得出点O和点C关于直线AB对称,点B和点A关于直线OC对称,因此,可求出点B的坐标,点B的坐标为(1,2),
二次函数y=ax2+bx的图象经过点B(1,2),C(2,0),将B,C代入解析式,可得,
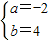
,
解得
,所以二次函数y=ax2+bx的关系式为y=-2x2+4x.
解答:
解:(1)∵y=x2-2x-1=(x-1)2-2,
∴顶点A的坐标为(1,-2).
∵二次函数y=ax2+bx的图象与x轴交于原点O及另一点C,它的顶点B在函数y=x2-2x-1的图象的对称轴上.
∴二次函数y=ax2+bx的对称轴为:直线x=1,
∴点C和点O关于直线x=1对称,
∴点C的坐标为(2,0).
(2)因为四边形AOBC是菱形,所以点B和点A关于直线OC对称,
因此,点B的坐标为(1,2).
因为二次函数y=ax2+bx的图象经过点B(1,2),C(2,0),
所以
,
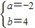
解得
,
所以二次函数y=ax2+bx的关系式为y=-2x2+4x.
点评:本题主要考查利用二次函数和菱形的对称性求有关的点,再用待定系数法求二次函数解析式,是难度中等的考题.
所以二次函数y=ax2+bx关于x=1对称,且函数与x轴的交点分别是原点和C点,
所以点C和点O关于直线l对称,所以点C的坐标为(2,0);
(2)因为四边形AOBC是菱形,根据菱形性质,可以得出点O和点C关于直线AB对称,点B和点A关于直线OC对称,因此,可求出点B的坐标,点B的坐标为(1,2),
二次函数y=ax2+bx的图象经过点B(1,2),C(2,0),将B,C代入解析式,可得,
解得
解答:
∴顶点A的坐标为(1,-2).
∵二次函数y=ax2+bx的图象与x轴交于原点O及另一点C,它的顶点B在函数y=x2-2x-1的图象的对称轴上.
∴二次函数y=ax2+bx的对称轴为:直线x=1,
∴点C和点O关于直线x=1对称,
∴点C的坐标为(2,0).
(2)因为四边形AOBC是菱形,所以点B和点A关于直线OC对称,
因此,点B的坐标为(1,2).
因为二次函数y=ax2+bx的图象经过点B(1,2),C(2,0),
所以
解得
所以二次函数y=ax2+bx的关系式为y=-2x2+4x.
点评:本题主要考查利用二次函数和菱形的对称性求有关的点,再用待定系数法求二次函数解析式,是难度中等的考题.
练习册系列答案
相关题目