题目内容
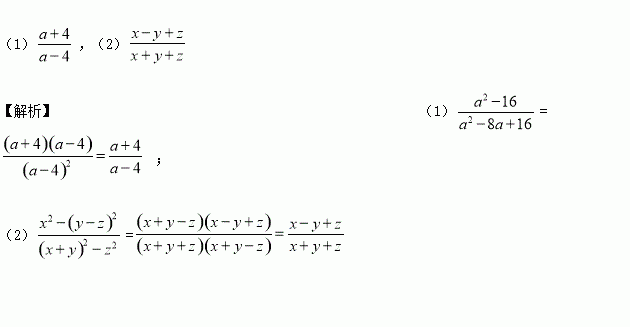
把下列各式化为最简分式:
(1)=_________; (2)=_________.
已知正方形ABCD,M、N两动点分别从A、C两点同时出发沿正方形的边开始移动,点M按逆时针方向移动,点N按顺时针方向移动,若点M的速度是点N的4倍,则它们第2017次相遇在边________上.
同学们都知道,|5-(-2)|表示5与-2之差的绝对值,实际上也可理解为5与-2两数在数轴上所对的两点之间的距离.如︱x-3︱的几何意义是数轴上表示有理数x的点与表示有理数3的点之间的距离.试探索:
(1)求|5-(-2)|= .
(2)若|x-3|=|x+1|,则x= .
(3)同样道理|x+5|+|x-2|表示数轴上有理数x所对点到-5和2所对的两点距离之和,请你找出所有符合条件的整数x,使得|x+5|+|x-2|=7,这样的整数是 .
若电视天线高出楼顶3米,记作+3米,则比楼顶低2米,记作:_______米.
在数轴上表示的点与表示的点的距离是 ( )
A. 3个单位长度 B. 2个单位长度 C. 5个单位长度 D. 1个单位长度
当a_______时,分式有意义;当_______时,分式无意义.
计算()·()÷(-)的结果是( )
A. B. - C. D. -
已知△ABC中,AB=10cm,AC=12cm,AD为边BC上的中线,求中线AD的取值范围___.
华光服装厂今年完成利税2400万元,比去年增加20%,求去年完成利税多少万元,正确列式的是( )
A. 2400×(1-20%) B. 2400÷(1-20%)
C. 2400×(1+20%) D. 2400÷(1+20%)