题目内容
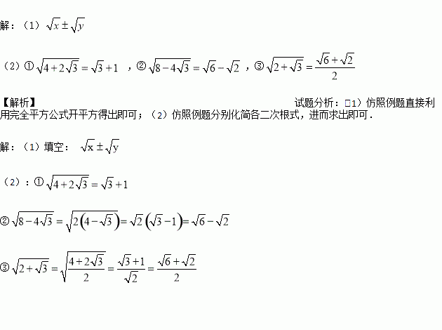
同学们,我学习了公式, , ,下面我们观察:
反过来,
仿上面的例子,
(1)填空:如果在中,如果有且,那么化简: ;
(2)化简:①;②;③
已知x=-,能否确定代数式(2x-y)(2x+y)+(2x-y)(y-4x)+2y(y-3x)的值?如果能确定,试求出这个值。
把代数式分解因式,下列结果中正确的是( )
A. B. C. D.
如图,点A的坐标为(0,1),点B是x轴正半轴上的一动点,以AB为边作等腰直角△ABC,使∠BAC=90°,设点B的横坐标为x,点C的纵坐标为y,能表示y与x的函数关系的图象大致是( )
下列图案中,是轴对称图形但不是中心对称图形的是( )
(1)化简: ;(2)在实数范围内分解因式:
如图,Rt△ABC中,∠ACB=90°,∠ABC=60°,BC=2cm,D为BC的中点,若动点E以1cm/s的速度从A点出发,沿着A→B→A的方向运动,设E点的运动时间为t秒(0≤t<6),连接DE,当△BDE是直角三角形时,t的值为( )
A.2B.2.5或3.5
C.3.5或4.5D.2或3.5或4.5
某校为了了解初中各年级学生每天的平均睡眠时间(单位:h,精确到1 h),抽样调查了部分学生,并用得到的数据绘制了下面两幅不完整的统计图.
请你根据图中提供的信息,回答下列问题:
(1)求出扇形统计图中百分数的值为_______,所抽查的学生人数为______;
(2)求出平均睡眠时间为8小时的人数,并补全条形图;
(3)求出这部分学生的平均睡眠时间的平均数;
(4)如果该校共有学生1200名,请你估计睡眠不足(少于8小时)的学生数.
成都地铁自开通以来,发展速度不断加快,现已成为成都市民主要出行方式之一,今年4月29日成都地铁安全运输乘客约181万乘次,又一次刷新客流记录,这也是今年以来第四次客流记录的刷新,用科学记数法表示181万为( )
A. 18.1×105 B. 1.81×106 C. 1.81×107 D. 181×104