题目内容
一轮船以16海里/时的速度从A港向东北方向航行,另一艘船同时以12海里/时的速度从A港向西北方向航行,经过1.5小时后,它们相距多少海里?
计算.
(1)(3)
如图,下列结论正确的是( )
A. a比b大 B. b以a大
C. a、b一样大 D. a、b的大小无法确定
如图7:AB=AC=BD,则∠1和∠2的关系是( )
A.∠1=2∠2 B.2∠1+∠2=180o
C.∠1+3∠2=180o D.3∠1-∠2=180o
如图,已知在△ABC中,BC边上的高为( )
A.BE B.BF C.AD D.CF
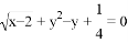
已知:,求:的值.
在△ABC中,AB=8cm,BC=15cm,要使∠B=90°,则AC的长必为______cm.
如图,在△ABC中,AB=AC,点D、E在BC上,连接AD、AE,请你添加一个条件使∠DAB=∠EAC.
(1)你添加的条件是_________;
(2)根据上述添加的条件证明∠DAB=∠EAC.
(2010•巴中)如图所示,是一块三角形的草坪,现要在草坪上建一凉亭供大家休息,要使凉亭到草坪三条边的距离相等,凉亭的位置应选在( )
A. △ABC的三条中线的交点
B. △ABC三边的中垂线的交点
C. △ABC三条角平分线的交点
D. △ABC三条高所在直线的交点