搜索
题目内容
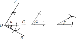
已知:如图∠α和∠β,求作∠AOB,使得∠AOB=∠α+∠β(保留作图痕迹)
试题答案
相关练习册答案
解:如图,
∠AOB就是要作的角.
分析:根据作一个角等于已知角的作法,先作出∠α,然后以∠α的一条边为公共边,在∠α的外部在作出∠β,两角之和就是∠AOB.
点评:本题是作图题,主要考查了作一个角等于已知角的知识,是基础题,难度不大.
练习册系列答案
A级口算系列答案
A加优化作业本系列答案
BBS试卷精编系列答案
LeoLiu中学英语系列答案
N版英语综合技能测试系列答案
PK中考系列答案
X新目标英语系列答案
学习指导与检测系列答案
高中学业水平测试卷系列答案
中考开卷考场指导用书考场制胜系列答案
相关题目
21、已知,如图∠1和∠D互余,CF⊥DF,问AB与CD平行吗?为什么?
已知:如图△ABC和△ADE都是等腰直角三角形,∠BAC=∠DAE=90°.
求证:BD=CE.
作图题(不写作图步骤,保留作图痕迹).已知:如图铁路和公路有一个交叉点0,在铁路和公路之间有两个村庄A、B.现在需在铁路和公路之间修建一所学校,使学校到铁路和公路的距离相等,且到A、B两村的距离相等.
已知:如图∠α,∠β和线段a.画一个三角形使它的两个角等于已知∠α,∠β,一边等于已知线段a.(保留作图痕迹)
已知:如
图,△
和△
都是等
腰直角三角形,
,
点
在
上.求证:
关 闭
试题分类
高中
数学
英语
物理
化学
生物
地理
初中
数学
英语
物理
化学
生物
地理
小学
数学
英语
其他
阅读理解答案
已回答习题
未回答习题
题目汇总
试卷汇总
练习册解析答案