下列式子是分式的是(  )

A. B. C. D.

B 【解析】根据分式的定义:一般地,如果A、B(B不等于零)表示两个整式,且B中含有字母,那么式子 就叫做分式. 【解析】 在式子, , , 中,分式有. 故选B.

解下列方程:(1); (2)?

(1)原分式方程无解;(2)原分式方程的解为x=2. 【解析】试题分析:先找出分母的最简公分母,然后将方程两边同时乘以最简公分母约去分母,然后去括号,移项合并同类项,系数化为1,最后验根. 试题解析:(1)方程两边乘x(x-2),得x-2+3x=-2, 解得x=0. 检验:当x=0时,x(x-2)=0,因此x=0不是原分式方程的解. 所以,原分式方程无解. (2...

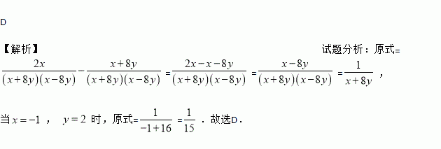
计算: =_____.

【解析】因为-=-=,故答案为: .

若分式的值为0,则x的值为(  )

A. -1 B. 0 C. 2 D. -1或2

C 【解析】因为分式的值为0,所以,解得,故选C.

如图,在△ABC中,AB=AC,DE是△ABE的对称轴,△BCE的周长为14,BC=6,求AB的长.

8 【解析】试题分析:由DE是△ABE的对称轴,根据轴对称的性质可得AE=BE,再由C△BCE=BC+CE+BE=14,可得BC+AC=14,从而求得AB的长. 试题解析: 因为DE是△ABE的对称轴, 所以AE=BE. 所以C△BCE=BC+CE+BE=BC+CE+AE=BC+AC=14. 因为BC=6,所以AC=8. 所以AB=AC=8.

违法和不良信息举报电话:027-86699610 举报邮箱:58377363@163.com

精英家教网