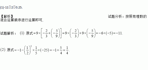
题目内容
计算:(1)
;(2)![]()
练习册系列答案
相关题目
为鼓励民众节约用电,城镇居民生活用电电费目前实行梯度收费,具体标准如下表:
月用电量(单位:千瓦时) | 单价(单位:元) |
150以内(含150) | 0.5 |
超过150但不超过300的部分(含300) | 0.6 |
300以上(不含300)的部分 | 0.8 |
(1)若月用电100千瓦时,应交电费多少元?若月用电200千瓦时,应交电费多少元?
(2)若某用户12月应交电费93元,该用户12月的用电量是多少?
(1)用电100千瓦时,应交电费50元,用电200千瓦时,应交电费105元; (2)用户12月的用电量是180千瓦. 【解析】试题分析:(1)根据150以内(含150)和超过150但不超过300的部分(含300)的用电单价,列出算式进行计算即可; (2)根据(1)求出的用电100千瓦时和200千瓦时所交的电费得出电费93元,用电量所在的范围,设12月的用电量是千瓦,根据单价数列出方程...