题目内容
某同学的身高为1.6米,某一时刻他在阳光下的影长为1.2米,与他相邻的一棵树的影长为3.6米,则这棵树的高度为 米.
【答案】分析:在同一时刻物高和影长成正比,即在同一时刻的两个问题物体,影子,经过物体顶部的太阳光线三者构成的两个直角三角形相似.
解答:解:设高度为h,
因为太阳光可以看作是互相平行的,
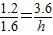
由相似三角形:
,h=4.8m.
点评:本题考查相似形的知识,解题的关键在于将题目中的文字转化为数学语言再进行解答.
解答:解:设高度为h,
因为太阳光可以看作是互相平行的,
由相似三角形:
点评:本题考查相似形的知识,解题的关键在于将题目中的文字转化为数学语言再进行解答.
练习册系列答案
相关题目
某同学的身高为1.6米,某一时刻他在阳光下的影长为1.2米,与他相邻的一棵树的影长为3.6米,则这棵树的高度为( )
| A、5.3米 | B、4.8米 | C、4.0米 | D、2.7米 |