搜索
题目内容
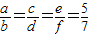
已知
,则
=
,
=
.
试题答案
相关练习册答案
【答案】
分析:
根据比例的等比性质:
,则
=
=
,故可求得
、
的值.
解答:
解:∵
,
∴
=
=
,
∴
=
,
=
.
故答案为:
,
.
点评:
此题重点考查了比例的等比性质,一定要掌握比例的等比性质的本质特征.
练习册系列答案
高分中考系列答案
金牌教辅培优优选卷期末冲刺100分系列答案
中考专项突破系列答案
全能金卷小学毕业升学全程总复习系列答案
新课程同步导学练测八年级英语下册系列答案
精致课堂有效反馈系列答案
小考状元必备测试卷系列答案
全能小考王小升初名校备考密卷系列答案
中考5月冲关卷系列答案
中考5加3预测卷系列答案
相关题目
5、如果两条平行直线被第三条直线所截得的8个角中有一个角的度数已知,则( )
A、只能求出其余3个角的度数
B、只能求出其余5个角的度数
C、只能求出其余6个角的度数
D、只能求出其余7个角的度数
9、定义图形A※B是由图形A与图形B组成的图形,已知:
则A※D是下图中的( )
A、
B、
C、
D、
15、如图,两个三角形全等,其中某些边的长度及某些角的度数已知,则∠α=
62
度.
已知,则x=
4
5
-1
,则x
2
-2x-1=
3
3
.
已知,则x+y=
1
1
.
关 闭
试题分类
高中
数学
英语
物理
化学
生物
地理
初中
数学
英语
物理
化学
生物
地理
小学
数学
英语
其他
阅读理解答案
已回答习题
未回答习题
题目汇总
试卷汇总
练习册解析答案