题目内容
估计
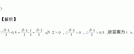
与0.5的大小关系是:
_____0.5.(填“>”、“=”、“<”)
练习册系列答案
相关题目
某校初一(10)班40名同学为“希望工程”捐款,共捐款100元.捐款情况如下表:
捐款(元) | 1 | 2 | 3 | 4 |
人数 | 6 |
| 7 |
表格中捐款2元和3元的人数不小心被墨水污染已看不清楚,若设捐款2元的有x名同学,捐款3元的有y名同学,根据题意,可得方程组( )
A.
B.
C.
D. ![]()
题目内容
估计
与0.5的大小关系是:
_____0.5.(填“>”、“=”、“<”)
某校初一(10)班40名同学为“希望工程”捐款,共捐款100元.捐款情况如下表:
捐款(元) | 1 | 2 | 3 | 4 |
人数 | 6 |
| 7 |
表格中捐款2元和3元的人数不小心被墨水污染已看不清楚,若设捐款2元的有x名同学,捐款3元的有y名同学,根据题意,可得方程组( )
A.
B.
C.
D. ![]()