题目内容
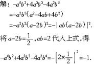
已知a-2b=
,ab=2,求-a4b2+4a3b3-4a2b4的值.
由已知a-2b=
,ab=2,现阶段是求不出a、b的确切值,所以要把所求的多项式进行化
简,可用所给的式子表示.
![]()
练习册系列答案
相关题目
题目内容
已知a-2b=
,ab=2,求-a4b2+4a3b3-4a2b4的值.
由已知a-2b=
,ab=2,现阶段是求不出a、b的确切值,所以要把所求的多项式进行化
简,可用所给的式子表示.
![]()