题目内容
如图,已知A(﹣4,0),B(0,4),现以A点为位似中心,相似比为9:4,将OB向右侧放大,B点的对应点为C.![]()
(1)求C点坐标及直线BC的解析式;
(2)一抛物线经过B、C两点,且顶点落在x轴正半轴上,求该抛物线的解析式并画出函数图象;
(3)现将直线BC绕B点旋转与抛物线相交与另一点P,请找出抛物线上所有满足到直线AB距离为
的点P.
(1)C
,所以y=x+4;(2)
;(3)
,
,
,
.
解析试题分析:(1)利用相似及相似比,可得到C的坐标.把A,B代入一次函数解析式即可求得解析式的坐标.
(2)顶点落在x轴正半轴上说明此函数解析式与x轴有一个交点,那么△=0,再把B,C两点即可.
(3)到直线AB的距离为
的直线有两条,可求出这两条直线解析式,和二次函数解析式组成方程组,求得点P坐标.
(1)过C点向x轴作垂线,垂足为D,![]()
由位似图形性质可知:△ABO∽△ACD,
∴
.
由已知
,
可知:
.
∴
.
∴C点坐标为
.
设直线BC的解析式为: y=kx+4,将(5,9)代入得5k+4=9,解得k=1.
所以y=x+4.
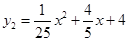
(2)因为抛物线顶点在x轴正半轴,所以设顶点坐标为(h,0),则设抛物线解析式为y=a(x-h)2.
将(0,4),(5,9)代入函数解析式得
,解得
或者
.
∴解得抛物线解析式为
或
.
又∵
的顶点在x轴负半轴上,不合题意,故舍去.
∴满足条件的抛物线解析式为![]()
(准确画出函数
图象)
(3)将直线BC绕B点旋转与抛物线相交与另一点P,设P到 直线AB的距离为h,
故P点应在与直线AB平行,且相距
的上下两条平行直线
和
上.
由平行线的性质可得:两条平行直线与y轴的交点到直线BC的距离也为
.
设
与y轴交于E点,过E作EF⊥BC于F点,
在Rt△BEF中
,
,
∴
.
∴可以求得直线
与y轴交点坐标为![]()
同理可求得直线
与y轴交点坐标为![]()
∴两直线解析式
;
.
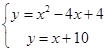
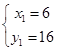
根据题意列出方程组:(1)
;(2)![]()
∴解得:
;
;
;![]()
∴满足条件的点P有四个,它们分别是
,
,
,
.
考点:二次函数的综合题
点评:此类问题综合性强,难度较大,在中考中比较常见,一般作为压轴题,题目比较典型.
A、
| ||
B、
| ||
C、
| ||
D、
|