题目内容
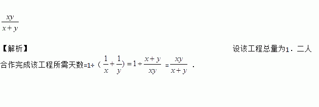
一项工程,甲单独做需要x小时完成,乙单独做需要y小时完成,则两人一起完成这项工程需要_______小时.
根据要求画图,并回答问题.
已知:直线AB、CD相交于点O,且
过点O画直线;
若点F是所画直线MN上任意一点点除外,且,求的度数.
下列调查中,适合用全面调查方式的是( )
A. 了解某班学生“50米跑”的成绩 B. 了解一批灯泡的使用寿命
C. 了解一批炮弹的杀伤半径 D. 了解一批袋装食品是否含有防腐剂
用一个圆心角为,半径为3的扇形作一个圆锥的侧面,则这个圆锥的底面半径为
A. B. 1 C. D. 2
计算: .
多项式x2﹣8x+k是一个完全平方式,则k=_____.
关于x的分式方程有增根,则m的值为( )
A. 2 B. ﹣1 C. 0 D. 1
能使分式的值为零的所有x的值是( )
A. x=0 B. x=1 C. x=0或x=1 D. x=0或x=±1
在平面直角坐标系中,已知点P0的坐标为(1,0),将P0绕原点O按逆时针方向旋转30°得点P1,延长OP1到P2,使OP2=2OP1,再将点P2绕原点O按逆时针方向转动30°得到点P3,延长OP3到P4,使OP4=2OP3,…,如果继续下去,点P2016的坐标为_________.