题目内容
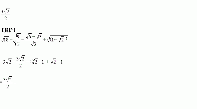
计算:
计算: =_______。
如图,“中国海监50”正在南海海域A处巡逻,岛礁B上的中国海军发现点A在点B的正西方向上,岛礁C上的中国海军发现点A在点C的南偏东30°方向上,已知点C在点B的北偏西60°方向上,且B、C两地相距120海里.
(1)求出此时点A到岛礁C的距离;
(2)若“中海监50”从A处沿AC方向向岛礁C驶去,当到达点A′时,测得点B在A′的南偏东75°的方向上,求此时“中国海监50”的航行距离.(注:结果保留根号)
下列几何体的主视图与其他三个不同的是( )
A. B. C. D.
直线y=ax-1经过点(4,3),交y轴于点A.直线y=-0.5x+b交y轴于点B(0,1),且与直线y=ax-1相交于点C.求△ABC的面积.
已知点(2,3)、(3,a)、(-4,-9)在同一条直线上,则a=_______.
下列描述一次函数y=-2x+5图象性质错误的是( )
A. y随x的增大而减小
B. 直线经过第一、二、四象限
C. 直线从左到右是下降的
D. 直线与x轴交点坐标是(0,5)
如图,∠B=∠E=90°,AB=a,DE=b,AC=CD,∠D=60°,∠A=30°,则BE=________.
如图所示,在四边形ABCD中,AB=CD,M、N、P分别是AD、BC、BD的中点,∠ABD=20°,∠BDC=70°,求∠PMN的度数.