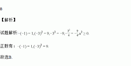
题目内容
在0,-(-1),(-3)2,-32,-|-3|,-,a2中,正数的个数为( )
A. 1个 B. 2个 C. 3个 D. 4个
已知学校航模组设计制作的火箭的升空高度h(m)与飞行时间t(s)满足函数表达式h=-t2+24t+1.则下列说法中正确的是( )
A. 点火后9 s和点火后13 s的升空高度相同
B. 点火后24 s火箭落于地面
C. 点火后10 s的升空高度为139 m
D. 火箭升空的最大高度为145 m
有一组数,,,,,,,它们的众数是,则________.
若|a|=4,|b|=3,且a<0<b,则ab的值为_______.
下列结论正确的是( )
A. 直线比射线长
B. 过两点有且只有一条直线
C. 过三点一定能作三条直线
D. 一条直线就是一个平角
已知函数(其中).
当为何值时,是的二次函数?
当为何值时,是的一次函数?
小华的爸爸存入银行1万元,先存一个一年定期,一年后将本息自动转存另一个一年定期,两年后共得本息10609元.设存款的年利率为x,则由题意列方程应为__.
用适当的方法解方程:
.
若△ABC≌△DEF,则下列结论错误的是( )
A. BC=EF B. ∠B=∠D C. ∠C=∠F D. AC=DF