题目内容
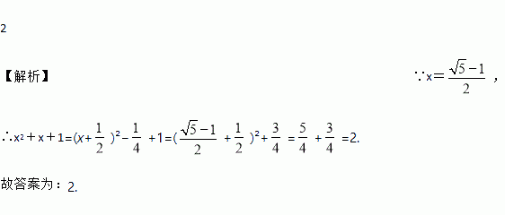
已知x=,则x2+x+1=________.
已知菱形的周长为4,两条对角线的和为6,则菱形的面积为( )
A. 2 B. C. 3 D. 4
如果矩形的一边长为6,一条对角线的长为10,那么这个矩形的另一边长是________.
若=2,则的值为( )
A. B. C. 4 D. ±4
已知a,b,c满足|a-|++(c-)2=0.
(1)求a,b,c的值;
(2)试问以a,b,c为边能否构成三角形?若能构成三角形,请求出三角形的周长;若不能,请说明理由.
把-a中根号外面的因式移到根号内的结果是( )
A. B. - C. - D.
根式中,不是最简二次根式的是( )
A. B. C. D.
写出下列命题的逆命题,并判断它们是真命题还是假命题.
(1)如果两个三角形全等,那么这两个三角形的面积相等;
(2)等腰三角形的两个底角相等.
化简的结果是( )
A. B.
C. D.