题目内容
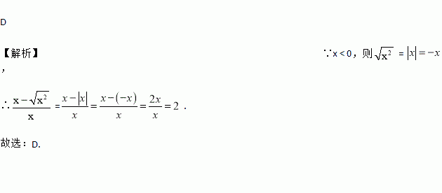
若x < 0,则的结果是( )
A. 0 B. -2 C. 0或-2 D. 2
已知a,b,c满足
(1)求a,b,c的值;
(2)试问以a,b,c为边能否构成三角形?若能构成三角形,求出三角形的周长;若不能构成三角形,请说明理由.
如图,工人师傅做了一个长方形窗框ABCD,E、F、G、H分别是四条边上的中点,为了使它稳固,需要在窗框上钉一根木条,这根木条不应钉在( )
A. A,C两点之间 B. E,G两点之间 C. B,F两点之间 D. G,H两点之间
若一个长方体的长为cm,宽为cm,高为cm,则它的体积为 cm3.
若最简二次根式与是同类二次根式,则的值为
A. B. C. D.
如图,△ABC中,∠ACB=90°,D为AB上一点,以CD为直径的⊙O交BC于点E,连接AE交CD于点P,交⊙O于点F,连接DF,∠CAE=∠ADF.
(1)判断AB与⊙O的位置关系,并说明理由;
(2)若PF∶PC=1∶2,AF=5,求PC的长.
若反比例函数和一次函数的图象有两个交点,且有一个交点的纵坐标为6,则b=______。
(1)如图①,在△ABC中,∠B=40°,∠C=80°,AD⊥BC于点D,AE平分∠BAC,求∠EAD的度数;
(2)将(1)中“∠B=40°,∠C=80°”改为“∠B=x°,∠C=y°,∠C>∠B”,
①其他条件不变,你能用含x,y的代数式表示∠EAD吗?请写出,并说明理由;
②如图②,AE平分∠BAC,F为AE上一点,FM⊥BC于点M,用含x,y的代数式表示∠EFM,并说明理由.
某中学计划租用若干辆汽车运送七年级学生外出进行社会实践活动,如果一辆车乘坐45人,那么有35名学生没有车坐;如果一辆车乘坐60人,那么有一辆车只坐了35人,并且还空出一辆车.设计划租用x辆车,共有y名学生.则根据题意列方程组为( )
A. B.
C. D.