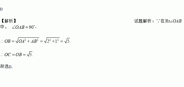
题目内容
如图,数轴上点A对应的数为2,AB⊥OA于A,且AB=1,以OB为半径画圆,交数轴于点C,则OC的长为( )
A. 3 B. C. D.
二次函数的值恒大于,则的取值范围是__________.
如图,在△ABC中,AD⊥BC,AD=12,BD=16,CD=5.
(1)求△ABC的周长;
(2)判断△ABC是否是直角三角形.
已知Rt△ABC的三边长分别为a,b,c,且∠C=90°,c=37,a=12,则b的值为( )
A. 50 B. 35 C. 34 D. 26
使等式成立的条件是_________________。
下列计算①=;②;③=;④=4.其中错误的是( ).
A. ① B. ② C. ③ D. ④
某水果专卖店销售樱桃,其进价为每千克元,按每千克元出售,平均每天可售出千克,后来经过市场调查发现,单价每千克降低元,则平均每天的销售可增加千克,若该专卖店销售这种樱桃要想平均每天获利元,请回答:
()每千克樱桃应降价多少元?
()在平均每天获利不变的情况下,为尽可能让利于顾客,赢得市场,该店应按原售价的几折出售?
已知, 是关于的一元二次方程的两个实数根,且,则__________.
单项式的系数和次数分别是( ).
A. , B. , C. , D. ,