题目内容
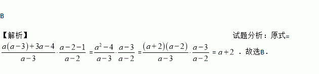
化简:(a+)(1﹣)的结果等于( )
A. a﹣2 B. a+2 C. D.
的倒数是( )
A. B. C. 3 D.
=_____.
“母亲节”前夕,某商店根据市场调查,用 3000 元购进第一批盒装花,上市后很 快售完,接着又用 5000 元购进第二批这种盒装花.已知第二批所购花的盒数是第一批所购花盒数的 2 倍,且每盒花的进价比第一批的进价少 5 元.求第一批盒装花每盒 的进价是多少元?
埃是表示极小长度的单位名称,是为纪念瑞典物理学家埃基特朗而定的.1埃等于一亿分之一厘米,请用科学记数法表示1埃等于___________厘米.
某中学图书馆添置图书,用240元购进一种科普书,同时用200元购进一种文学书,由于科普书的单价比文学书的单价高出一半,因此学校所购买的文学书比科普书多4本,求文学书的单价.设这种文学书的单价为x元,则根据题意,所列方程正确的是( )
A. =4 B. =4
C. =4 D.
(1)已知y=﹣+8x,求的平方根.
(2)当﹣4<x<1时,化简.
下列各等式中,正确的是( )
A. -=-3 B. ±=3 C. (-)2=-3 D. =±3
已知中, ,则它的三条边之比为( ).
A. B. C. D.