题目内容
已知x=2﹣,y=2+,求下列代数式的值:
(1)x2+2xy+y2;
(2)x2﹣y2.
为一特定目的而对________考察对象作的______叫普查.为一特定目的而对______考察对象作的______叫抽样调查.
比较下面两算式结果的大小:通过观察,归纳比较20062+20072__2×2006×2007,并写出能反映这种规律的一般结论:__________________.
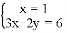
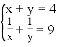
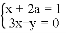
下列方程组中,是二元一次方程组的是( )
A. B. C. D.
写出一个未知数为a,b的二元一次方程组:____________________.
计算:2﹣2﹣4×+|﹣|+(3.14﹣π)0.
若,则的取值范围是_______.
关于x、y的方程组中,x+y=
计算:.