题目内容
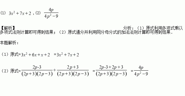
(8分)计算: (1) (3x+1)(x+2) (2) +
如图,在Rt△ABC中,∠A=90°,BD平分∠ABC交AC于点D,且AB=4,BD=5,则点D到BC的距离为_______.
如图,已知BC是⊙O的直径,A是⊙O上一点,AD⊥BC,垂足为D,=,BE交AD于点F.
(1)∠ACB与∠BAD相等吗?为什么?
(2)判断△FAB的形状,并说明理由.
对于反比例函数,下列说法不正确的是( )
A. 点(-2,-1)在它的图像上 B. 它的图像在第一、三象限
C. 当时,y随x的增大而增大 D. 当时,y随x的增大而减小
(10分)从2007年4月18日开始,我国铁路第六次提速,某次列车平均提速v km/h.
若提速前列车的平均速度为x km/h,行驶1200km的路程,提速后比提速前少用多长时间?
(2)若v=50,行驶1200km的路程,提速后所用时间是提速前的,求提速前列车的平均速度?
用相同的时间,列车提速前行驶s km,提速后比提速前多行驶50km,则提速前的平均速度为______km/h.
化简+的结果为__.
已知点P的坐标为(﹣5,6)与点Q关于x轴对称,则点Q的坐标为( )
A. (﹣5,﹣6) B. (﹣5,6 ) C. (5,6) D. (5,﹣6)
已知平行四边形ABCD中,∠B=4∠A,则∠C=__.
解下列不等式或不等式组,并把解表示在数轴上:(1)2x+1<3;(2)