| 序号 | 甲 | 乙 |
| A | 生锈的铁钉 | 稀盐酸 |
| B | 盐酸和稀硫酸的混合溶液 | 氯化钡溶液 |
| C | 氯化钠和氯化钙的混合溶液 | 碳酸钠溶液 |
| D | 盐酸和氯化铜的混合溶液 | 氢氧化钠溶液 |
A.A
B.B
C.C
D.D
| 硫酸钾 | 硫酸钙 | 硫酸钠 | 硫酸镁 | 硫酸铝 | 硫酸锌 | 硫酸亚铁 |
| K2SO4 | CaSO4 | Na2SO4 | MgSO4 | Al2(SO4)3 | ZnSO4 | FeSO4 |
(2)上述盐因组成上相似而具有某些共同的化学性质,如都能与BaCl2溶液反应生成硫酸钡沉淀,该反应的化学方程式为 (任选其中一种盐即可).
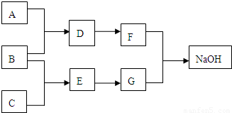
(3)甲同学通过查阅资料,发现许多反应都有盐类物质生成.他将这些知识间相互关系整理成右图,请将右图补充完整
a ,b .
(4)乙同学提出可用右图指导进行物质的制备:请写出2个有关硫酸亚铁生成的化学反应方程式.
答: ; .
实验盒中有5种没有标签的溶液,老师让实验小组同学鉴别这些溶液.
[调查研究]
①实验盒中记录单上登记的5种溶液是:Na2CO3、CuSO4、Ca(OH)2、NaOH和稀盐酸,其中有颜色的是______溶液;
②查阅资料:无色有刺激性气味的氯化氢气体溶于水得到盐酸;
③研究方式:从4种无色溶液中任意取出3种为一组进行鉴别.
[提出假设]同学们从4种无色溶液中取出3种,贴上A、B、C标签,并且假设这一组溶液可能是Na2CO3、Ca(OH)2和NaOH.
[实验探究]同学们按以下步骤进行鉴别:
第一步取3支试管,分别加入少量的A、B、C溶液,然后依次加入少量盐酸,实验现象记录如下:
实验结论:C是______溶液.
第二步依据如图装置进行实验,其中夹持固定装置已略去.从长颈漏斗加入盐酸,可以观察到C溶液中气泡产生,A溶液中有白色沉淀生成,B溶液无明显变化.

实验解释:
①A溶液中产生的白色沉淀是______(写出化学式),
则A是______溶液.
②写出C溶液中发生反应的化学方程式______.
第三步取少量B溶液倒入蒸发皿,加热,闻到有刺激性气味,
停止加热.
实验结论:B是______溶液.
经过上述三步实验,同学们认为最后一种溶液是______溶液.
[实验反思]老师提出:鉴别出C溶液后,不需外加试剂,就可以简便地鉴别出A、B溶液.请完成下列实验报告.
[调查研究]
①实验盒中记录单上登记的5种溶液是:Na2CO3、CuSO4、Ca(OH)2、NaOH和稀盐酸,其中有颜色的是______溶液;
②查阅资料:无色有刺激性气味的氯化氢气体溶于水得到盐酸;
③研究方式:从4种无色溶液中任意取出3种为一组进行鉴别.
[提出假设]同学们从4种无色溶液中取出3种,贴上A、B、C标签,并且假设这一组溶液可能是Na2CO3、Ca(OH)2和NaOH.
[实验探究]同学们按以下步骤进行鉴别:
第一步取3支试管,分别加入少量的A、B、C溶液,然后依次加入少量盐酸,实验现象记录如下:
| 溶液 | A | B | C |
| 加入盐酸后的现象 | 无明显变化 | 无明显变化 | 有气泡产生 |
第二步依据如图装置进行实验,其中夹持固定装置已略去.从长颈漏斗加入盐酸,可以观察到C溶液中气泡产生,A溶液中有白色沉淀生成,B溶液无明显变化.
实验解释:
①A溶液中产生的白色沉淀是______(写出化学式),
则A是______溶液.
②写出C溶液中发生反应的化学方程式______.
第三步取少量B溶液倒入蒸发皿,加热,闻到有刺激性气味,
停止加热.
实验结论:B是______溶液.
经过上述三步实验,同学们认为最后一种溶液是______溶液.
[实验反思]老师提出:鉴别出C溶液后,不需外加试剂,就可以简便地鉴别出A、B溶液.请完成下列实验报告.
| 实验步骤 | 实验现象 | 结论 |
| 取A、B两溶液分别于两支试管中,各滴加C溶液 | ______ | 该溶液是A 溶液 |
| ______ | 该溶液是B溶液 |
有一包未知粉末,其中含有碳酸钠、氢氧化钠、碳酸钙、生石灰、氯化钠、硫酸铜六种物质中的四种.兴趣小组为确定其组成设计并进行如下实验.
【实验一】甲组同学进行定性探究.
【实验二】乙组同学进行定量探究.

实验测得固体B中含15g氯元素.试综合甲、乙两组同学的实验进行分析.
(1)乙组实验中一定发生的化学反应是:Na2CO3+2HCl=2NaCl+H2O+CO2↑和______.
(2)该未知粉末的组成可能是______.
0 63213 63221 63227 63231 63237 63239 63243 63249 63251 63257 63263 63267 63269 63273 63279 63281 63287 63291 63293 63297 63299 63303 63305 63307 63308 63309 63311 63312 63313 63315 63317 63321 63323 63327 63329 63333 63339 63341 63347 63351 63353 63357 63363 63369 63371 63377 63381 63383 63389 63393 63399 63407 211419
【实验一】甲组同学进行定性探究.
| 实验操作 | 实验现象 | 实验结论及分析 |
| (1)取少量该未知粉末于烧杯中,加入足量的水溶解、过滤. | 粉末部分溶解, 得到白色滤渣和无色滤液. | 原粉末中一定不含______; 白色滤渣不一定是原粉末中的碳酸钙,其理由是______(用化学方程式表示). |
| (2)向滤液中滴加无色酚酞试液. | 溶液变红 | 滤液中存在碱性物质. |
| (3)向(2)中滴加足量稀盐酸. | ______ | 原固体粉末中一定含有Na2CO3. |
实验测得固体B中含15g氯元素.试综合甲、乙两组同学的实验进行分析.
(1)乙组实验中一定发生的化学反应是:Na2CO3+2HCl=2NaCl+H2O+CO2↑和______.
(2)该未知粉末的组成可能是______.