20℃时,NaCl溶解于水的实验数据如右表. 则下列叙述正确的是( )
A.①所得溶液的溶质质量分数为20%
B.②中所得溶液是饱和溶液
C.③④溶液的溶质质量分数相等
D.20℃时10g水最多能溶解4gNaCl
| 实验 序号 | 水的 质量(g) | 加入NaCl 的质量(g) | 溶液的 质量(g) |
| ① | 10 | 2 | 12 |
| ② | 10 | 3 | 13 |
| ③ | 10 | 4 | 13.6 |
| ④ | 10 | 5 | 13.6 |
A.①所得溶液的溶质质量分数为20%
B.②中所得溶液是饱和溶液
C.③④溶液的溶质质量分数相等
D.20℃时10g水最多能溶解4gNaCl
下表中列出了一定压强和温度下每立方厘米活性炭所能吸附的常见气体的体积,分析表中数据与气体的组成、性质的关系,你认为下列结论正确的是( )
A.每个气体分子所含原子个数越多,越容易被吸附
B.沸点越低的气体,越易被吸附
C.气体是化合物时,易被吸附
D.气体的相对分子质量越大,越易被吸附
| 气体性质 | H2 | CO2 | O2 | N2 | Cl2 |
| 气体的沸点/℃ | -252 | -78 | -183 | -196 | -34 |
| 被吸附体积/mL | 4.5 | 97 | 35 | 11 | 494 |
A.每个气体分子所含原子个数越多,越容易被吸附
B.沸点越低的气体,越易被吸附
C.气体是化合物时,易被吸附
D.气体的相对分子质量越大,越易被吸附
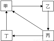
下表所列各组物质中,物质之间不能通过一步反应实现如图所示转化的是( )
A.A
B.B
C.C
D.D
0 62772 62780 62786 62790 62796 62798 62802 62808 62810 62816 62822 62826 62828 62832 62838 62840 62846 62850 62852 62856 62858 62862 62864 62866 62867 62868 62870 62871 62872 62874 62876 62880 62882 62886 62888 62892 62898 62900 62906 62910 62912 62916 62922 62928 62930 62936 62940 62942 62948 62952 62958 62966 211419
| 物质编号 | 甲 | 乙 | 丙 | 丁 | 物质转化关系 |
| A | CaCO3 | CaO | Ca(OH)2 | CaCl2 | |
| B | MgSO4 | MgCl2 | Mg(OH)2 | MgO | |
| C | Fe | FeCl2 | Fe(OH)2 | Fe2O3 | |
| D | Cu | CuO | CuCl2 | Cu(NO3)2 |
A.A
B.B
C.C
D.D