搜索
在表示微粒的示意图中,“●”和“○”分别表示氮原子和氧原子。氮的氧化物有NO、N
2
O、NO
2
,等,其中能表示NO的是
[ ]
A.
B.
C.
D.
2008年5月12日汶川发生大地震,为了支援灾区防疫,制剂厂紧急生产过氧乙酸消毒液,过氧乙酸的化学式为C
2
H
4
O
3
。下列说法错误的是
[ ]
A.过氧乙酸中含有三种元素
B.1个过氧乙酸分子由9个原子构成
C.过氧乙酸是化合物
D.过氧乙酸是氧化物
写出下列物质名称或化学式,并指出物质的类别(单质、氧化物、化合物)
(1)___________
(2)___________
(3)___________
(4)___________
(5)___________
(6)___________
(7)___________
(8)___________
甲醇(化学式CH
3
OH)是工业酒精的主要成分。下列说法中正确的是
[ ]
A.甲醇由碳、氢、氧三种元素组成
B.甲醇由1个碳元素、4个氢元素、1个氧元素组成
C.甲醇中三种元素的质量比为3:1:4
D.甲醇由1个碳原子、4个氢原子和1个氧原子构成
化学用语是学习化学的重要工具,是国际通用的化学语言。下列化学用语正确的是
[ ]
A.氯的元素符号为Al
B.高锰酸钾的化学式为K
2
MnO
4
C.2H表示2个氢分子
D.O
2-
表示氧离子
元素周期表是同学们学习化学的重要工具。 请根据镁元素的“身份证”(见下图),在下面的横线 上填写有关铝元素的6个信息。
现有C、H、O、Ca、S五种元素,请选用其中一种或几种元素,请选出符合下列要求的化学式各一个: (1)用于炼钢的气体是_________;
(2)能导致酸雨的气体是___________;
(3)能代替汽油的汽车的环保燃料是_______;
(4)汽水中的酸是________;
(5)能改良酸性土壤的碱是_______;
(6)能做建筑材料的盐是__________。
2003年,安徽省合肥市等城市已开始使用西气东输工程送来的天然气。天然气的主要成分为CH
4
。下面是有关化学式CH
4
的意义的叙述,其中错误的是
[ ]
A.
B.
C.
D.
以下同学对“SO
2
”的认识,不正确的是
[ ]
A.
B.
C.
D.
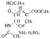
最近流行的甲型HIN1流感,感染早期用达菲治疗有效。从下图达菲分子的结构简式中,不能推断出达菲的
[ ]
A.组成元素
B.颜色、气味
C.化学式
D.相对分子质量
0
22047
22055
22061
22065
22071
22073
22077
22083
22085
22091
22097
22101
22103
22107
22113
22115
22121
22125
22127
22131
22133
22137
22139
22141
22142
22143
22145
22146
22147
22149
22151
22155
22157
22161
22163
22167
22173
22175
22181
22185
22187
22191
22197
22203
22205
22211
22215
22217
22223
22227
22233
22241
211419
关 闭
试题分类
高中
数学
英语
物理
化学
生物
地理
初中
数学
英语
物理
化学
生物
地理
小学
数学
英语
其他
阅读理解答案
已回答习题
未回答习题
题目汇总
试卷汇总
练习册解析答案