题目内容

为了测定一瓶过氧化氢溶液中溶质的质量分数,某同学取该溶液50g倒入烧杯中,然后向其中加入2g二氧化锰,烧杯内混合物的质量与反应时间的变化关系如图所示。

(1)反应完全后产生氧气的质量为

(2)欲从反应后的混合物中回收二氧化锰,应进行的操作是        、干燥。

(3)计算该过氧化氢溶液中溶质的质量分数(结果保留至0.1%)。

 

【答案】

 

(1)1.6

(2)过滤

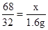
(3)设溶液中H2O2的质量为x。

2H2O2MnO22H2O+O2

68             32

x             1.6g

x=3.4g

该过氧化氢溶液中溶质的质量分数为:=6.8%

答:该过氧化氢溶液中溶质的质量分数为6.8%。

【解析】

试题分析:(1)依据图像数据,结合根据质量守恒定律,氧气的质量为反应前物质的质量-

反应后物质的质量=502g-50.4g=1.6g;(2)二氧化锰不溶于过氧化氢和水,故分离时可采用过滤的方法;(3)用氧气的质量可求出过氧化氢的质量,再用过氧化氢的质量除以过氧化氢溶液的质量乘以100%就是过氧化氢溶液中溶质的质量分数。

考点:质量守恒定律和化学计算。

 

练习册系列答案
相关题目

违法和不良信息举报电话:027-86699610 举报邮箱:58377363@163.com

精英家教网