题目内容
将碳酸钠和硫酸钠的固体混合物6g放入烧杯中,此时总质量为106g,加入24.5g硫酸,恰好完全反应(反应方程式为Na2CO3+H2SO4==Na2SO4+H2O+CO2↑),待没有气泡逸出后再次称量,总质量为128.3g.计算所得溶液中溶质的质量分数(CO2的溶解忽略不计).
解:根据质量守恒定律,反应生成的CO2质量为:106g+24.5g﹣128.3g=2.2g
设生成Na2SO4质量为x,原有Na2CO3质量为y
Na2CO3+H2SO4=Na2SO4+H2O+CO2↑
106 142 44
y x 2.2g
=
=
x=7.1g,y=5.3g
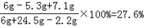
所得溶液中溶质的质量分数:
所得溶液中溶质的质量分数为27.6%.
设生成Na2SO4质量为x,原有Na2CO3质量为y
Na2CO3+H2SO4=Na2SO4+H2O+CO2↑
106 142 44
y x 2.2g
x=7.1g,y=5.3g
所得溶液中溶质的质量分数:
所得溶液中溶质的质量分数为27.6%.
练习册系列答案
相关题目