题目内容

氢化钙(CaH2)是一种重要的制氢剂,与水接触时发生如下反应:
CaH2+2H2O=Ca(OH)2+2H2↑.
若要制得2g氢气,需CaH2的质量为多少?
解:设需要CaH的质量为x.
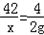
CaH2+2H2O=Ca(OH)2+2H2
42          4
x          2g
解之得:x=21g
答:需要CaH的质量为21g.
练习册系列答案
相关题目
(2012?丹阳市二模)氢化钙(CaH2)是一种常用的储氢材料,也是登山运动员常用的能源提供剂.氢化钙一旦接触到水就发生反应生成氢气.实验小组的同学对氢化钙作了以下探究:
[探究一]氢化钙与水反应生成氢气的同时生成的另一种产物是什么?
甲同学认为是氧化钙,而乙同学认为是氢氧化钙.小组其他同学讨论后一致确认乙同学的猜想是正确的,你认为他们的理由是
氧化钙能与水反应生成氢氧化钙
氧化钙能与水反应生成氢氧化钙

[探究二]实验室模拟制取氢化钙
[查阅资料]Ⅰ.用氢气与金属钙加热的方法可制得氢化钙.
Ⅱ.活动性很强的金属遇水即剧烈反应生成相应的碱和氢气.
[实验装置]同学们设计了以下实验装置:

请回答:
(1)图1装置A 的作用是制H2,请写出实验室制H2的化学方程式
Zn+H2SO4=ZnSO4+H2
Zn+H2SO4=ZnSO4+H2

(2)图1装置B 中装有无水氯化钙,其作用是干燥H2.有同学建议:为确保H2已彻底干燥,应在B、C之间连接图2中的
(填①或②)装置.
(3)图1D装置中浓硫酸的作用是
防止空气中的水进入C中
防止空气中的水进入C中
.D装置中F导管的作用是
根据E导管中液面升降情况来控制通氢气的速度
根据E导管中液面升降情况来控制通氢气的速度

[实验步骤]利用图1实验装置进行实验,实验步骤如下:检查装置气密性后装入药品,
②①④③
②①④③
(请按正确的顺序填入下列步骤的序号).
①加热反应一段时间         ②打开分液漏斗活塞      ③关闭分液漏斗活塞         ④停止加热,充分冷却
有同学建议:为了安全,应在步骤①前增加
在F导管口收集氢气进行验纯
在F导管口收集氢气进行验纯

(填实验操作)再进行后续实验.
[实验拓展]制备CaH2实验结束后,某同学取少量产物,小心加入水中,观察到有气泡冒出,在溶液中滴入酚酞后显红色.该同学据此判断:上述实验确有CaH2生成.请你判断他的结论是否正确并说明理由
不正确,因为钙与水反应也生成氢氧化钙和氢气
不正确,因为钙与水反应也生成氢氧化钙和氢气
(2012?北塘区二模)氢化钙(CaH2)是一种常用的储氢材料,某化学兴趣小组通过查阅资料并在老师的指导下设计了制取氢化钙并测定制取的氢化钙样品中氢化钙的质量分数.
【资料在线】
Ⅰ.用氢气与金属钙加热的方法可制得氢化钙.
Ⅱ.氢化钙要密封保存,一旦接触到水就发生反应,放出氢气,并生成一种碱.
Ⅲ.金属钙的活动性很强,遇水即刻剧烈反应生成氢氧化钙,同时产生一种气体.
【探究一:氢化钙的制取及定性分析】
(1)写出用氢气与金属钙加热制取氢化钙的化学方程式
Ca+H2
  △  
.
 
CaH2
Ca+H2
  △  
.
 
CaH2

(2)下图该化学兴趣小组设计的用氢气与金属钙加热制取氢化钙的实验装置.

①利用该装置进行实验,步骤如下:检查装置气密性后,装入药品,打开分液漏斗活塞,请按正确的顺序填入下列步骤的序号
CBDA
CBDA

A.关闭分液漏斗活塞
B.点燃酒精灯,加热反应一段时间
C.收集气体并检验其纯度
D.停止加热,充分冷却
②检查整套装置气密性的方法是:连接好装置,关闭A中分液漏斗活塞,在D中放适量的水浸没 x 导管口,用酒精灯微热圆底烧瓶,若D中 x 导管口有气泡冒出,停止微热至冷却后 x 导管中
有水柱(稳定的水柱)形成
有水柱(稳定的水柱)形成
,说明装置不漏气.
(3)制备氢化钙实验结束后,某同学取少量产物,小心加入水中,观察到有气泡冒出,在溶液中滴入酚酞后显
色.
该同学据此判断:上述实验确有CaH2生成.你认为是否正确
(填“是”或“否”);原因是
金属钙与水反应也有类似现象
金属钙与水反应也有类似现象

【探究二:产物定量测定】
测定原理:

称取上述制得的氢化钙样品(假设不含其他杂质)1.0 g加入足量的碳酸钠溶液,充分搅拌后、过滤、洗涤、干燥,称量碳酸钙质量2.4 g,求样品中钙元素和氢元素的质量比(列出计算过程).
结论:该样品中氢化钙的质量分数是
84%
84%

违法和不良信息举报电话:027-86699610 举报邮箱:58377363@163.com

精英家教网