题目内容

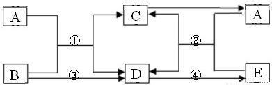
(6分)A、D、E为氧化物,B、C为单质,C为紫红色金属。在一定条件下,他们的转化关系如下图所示。请回答下列问题:

(1)反应①属于                      (写基本反应类型)。

(2)反应④                   (填“放出”或“吸收”)热量。

(3)写出反应②的化学方程式                                           

(4) 如果反应③为化合反应,其化学方程式为                             

 

【答案】

(1)置换反应(1分)

(2)吸收(1分)

(3)CO+CuOCu+CO2(2分)  

(4)C+O2CO2(2分)

【解析】①单质C为紫红色金属,因此猜想C是铜;②A+B═C+D,A+E═C+D,且C可以转化成A,可知A是CuO,B是C,C是Cu,D是CO2,E是CO;③反应①的化学方程式为2CuO+C2Cu+CO2↑,属于置换反应;

④反应④的化学方程式为:C+CO22CO,因为常温破坏C=O需要提供能量!而生成CO的能量不足以补充失去的能量,所以CO2生成CO的反应为吸热反应.

(3) 反应②的化学方程式为CO+CuOCu+CO2

(4)反应③化学方程式为C+O2CO2

 

练习册系列答案
相关题目

违法和不良信息举报电话:027-86699610 举报邮箱:58377363@163.com

精英家教网