题目内容

(3分)根据碳与氧气的反应,回答下列问题:

(1)做“木炭的燃烧”实验时,将点燃的木炭放入燃烧匙,由上而下_______________(填“缓慢”或“迅速”)伸入盛有集满氧气的集气瓶中。

(2)碳不完全燃烧的化学方程式是2C+O22CO,该反应属于基本反应类型中的_________反应。

(3)在相同温度和相同体积的的条件下,气体压强与气体分子数成正比关系。将ag碳和bg氧气放入一恒容密闭容器中,在一定条件下恰好完全反应,相同温度下,测得反应前后容器内的气体压强分别为P1、P2。如果P1<P2,则a/b的取值范围是__________。

 

(1)缓慢;(2)化合;(3)大于3/8

【解析】

试题分析:(1)做“木炭的燃烧”实验时,将点燃的木炭放入燃烧匙,为了防止氧气受热逸出,故应该由上而下缓慢伸入盛有集满氧气的集气瓶中。(2)碳不完全燃烧的化学方程式是2C+O22CO,根据反应的特点是多变一,故该反应属于基本反应类型中的化合反应;(3)在相同温度和相同体积的的条件下,气体压强与气体分子数成正比关系。将ag碳和bg氧气放入一恒容密闭容器中,在一定条件下恰好完全反应,相同温度下,测得反应前后容器内的气体压强分别为P1、P2。如果P1<P2,则a/b的取值范围是大于3/8;因为根据题意知反应后容器内气体压强P1<P2,说明反应前后气体的分子总数改变

碳与氧气发生的反应是:(1)C + O2 点燃 CO2  (2)2C + O2 点燃 2CO

分析两个反应前后气体分子数的变化可知:(1)反应前后气体分子数没有变化,(2)反应后气体分子数增加.所以要发生两个反应,根据化学方程式求出恰好反应时a与b的关系

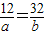
      C + O2 点燃 CO2 2C + O2 点燃 2CO

32 24 32

 a     b a b

24/a=32/b

可求出∴a=  a=3b/4

当氧气不足时反应进行(2),反应前后气体分子总数要改变,则此时a>

考点:碳和氧气的反应

 

练习册系列答案
相关题目

违法和不良信息举报电话:027-86699610 举报邮箱:58377363@163.com

精英家教网