题目内容
已知某纯碱试样中含有NaCl杂质,为测定试样中纯碱的质量分数,可用右图中的装置进行实验.主要实验步骤如下:
①按图组装仪器,并检验装置的气密性
②将a g试样放入锥形瓶中,加适量蒸馏水溶解,得到试样溶液
③称量盛有碱石灰的U型管的质量,得到b g
④从分液漏斗滴入6mol?L-1的硫酸,直到不再产生气体时为止
⑤从导管A处缓缓鼓入一定量的空气
⑥再次称量盛有碱石灰的U型管的质量,得到c g
⑦重复步骤⑤和⑥的操作,直到U型管的质量基本不变,为d g
请填空和回答问题:
(1)在用托盘天平称量药品时,如果天平的指针向左偏转,说明______.
(2)装置中干燥管B的作用是______.
(3)如果将分液漏斗中的硫酸换成浓度相同的盐酸,测试的结果______(填偏高、偏低或不变).
(4)步骤⑤的目的是______.
(5)步骤⑦的目的是______.
(6)试样中纯碱的质量分数的计算式为______.
(7)还可以用其它实验方法测定试样中纯碱的质量分数.请简述一种不同的实验方法.
【答案】分析:(1)根据天平称量时按照左物右码的原则考虑;
(2)由于空气中也有二氧化碳和水分,干燥管B的作用就是不让它们进入的;
(3)根据盐酸的挥发性考虑;
(4)由于反应完了锥形瓶中存留有二氧化碳,鼓入一定量的空气就是为了驱赶它们的;
(5)就是为了将二氧化碳全部赶过去;
(6)根据U型管的质量的增加量就是生成的二氧化碳的质量,根据二氧化碳的质量算出碳酸钠的质量,再用碳酸钠的质量除以样品质量即可.
(7)可以根据用一种试剂与碳酸钠反应产生沉淀,根据沉淀算出碳酸钠的质量,再进行推算.
解答:解:(1)由于称量时左物右码,向左偏说明样品重,砝码轻;
(2)U型管中的碱石灰是为了吸收反应生成的二氧化碳,但空气中也存在二氧化碳,干燥管B的作用就是防止空气中的二氧化碳和水分进入U型管,对结果产生误差;
(3)由于盐酸具有挥发性,也会随着二氧化碳进入U型管,被误认为是二氧化碳,所以二氧化碳的质量偏大,算出的碳酸钠的质量也会偏大的,所以结果会偏大;
(4)由于反应完了锥形瓶中存留有二氧化碳,鼓入一定量的空气就是将残留的二氧化碳完全排入U型管;
(5)直到U型管的质量基本不变,说明二氧化碳已经被全部排到U型管中;
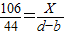
(6)设需要碳酸钠的质量为X则:Na2CO3+H2SO4═Na2SO4+H2O+CO2↑
106 44
X d-b
列比例式:
解得X=
所以试样中纯碱的质量分数的计算式为
;
(7)根据用一种试剂与碳酸钠反应产生沉淀,根据沉淀算出碳酸钠的质量:取一定量试样放入烧杯中,加适量蒸馏水溶解,再向烧杯中滴加足量氢氧化钙溶液,将得到的沉淀过滤洗涤干燥后称量,根据方程式由沉淀质量算出碳酸钠质量,再除以样品质量.
故答案为:(1)样品重,砝码轻
(2)防止空气中的CO2和水气进入U型管中;
(3)偏高
(4)把反应产生的CO2全部导入U型管中;
(5)判断反应产生的CO2是否全部排出,并被U型管中的碱石灰吸收;
(6)
;
(7)取一定量试样放入烧杯中,加适量蒸馏水溶解,再向烧杯中滴加足量氢氧化钙溶液,将得到的沉淀过滤洗涤干燥后称量,根据方程式由沉淀质量算出碳酸钠质量,再除以样品质量.
点评:本题容易出错的地方是不设计干燥管B,忘记空气中的二氧化碳和水分也能够进入U型管中,会使结果偏大.
(2)由于空气中也有二氧化碳和水分,干燥管B的作用就是不让它们进入的;
(3)根据盐酸的挥发性考虑;
(4)由于反应完了锥形瓶中存留有二氧化碳,鼓入一定量的空气就是为了驱赶它们的;
(5)就是为了将二氧化碳全部赶过去;
(6)根据U型管的质量的增加量就是生成的二氧化碳的质量,根据二氧化碳的质量算出碳酸钠的质量,再用碳酸钠的质量除以样品质量即可.
(7)可以根据用一种试剂与碳酸钠反应产生沉淀,根据沉淀算出碳酸钠的质量,再进行推算.
解答:解:(1)由于称量时左物右码,向左偏说明样品重,砝码轻;
(2)U型管中的碱石灰是为了吸收反应生成的二氧化碳,但空气中也存在二氧化碳,干燥管B的作用就是防止空气中的二氧化碳和水分进入U型管,对结果产生误差;
(3)由于盐酸具有挥发性,也会随着二氧化碳进入U型管,被误认为是二氧化碳,所以二氧化碳的质量偏大,算出的碳酸钠的质量也会偏大的,所以结果会偏大;
(4)由于反应完了锥形瓶中存留有二氧化碳,鼓入一定量的空气就是将残留的二氧化碳完全排入U型管;
(5)直到U型管的质量基本不变,说明二氧化碳已经被全部排到U型管中;
(6)设需要碳酸钠的质量为X则:Na2CO3+H2SO4═Na2SO4+H2O+CO2↑
106 44
X d-b
列比例式:
解得X=
所以试样中纯碱的质量分数的计算式为
(7)根据用一种试剂与碳酸钠反应产生沉淀,根据沉淀算出碳酸钠的质量:取一定量试样放入烧杯中,加适量蒸馏水溶解,再向烧杯中滴加足量氢氧化钙溶液,将得到的沉淀过滤洗涤干燥后称量,根据方程式由沉淀质量算出碳酸钠质量,再除以样品质量.
故答案为:(1)样品重,砝码轻
(2)防止空气中的CO2和水气进入U型管中;
(3)偏高
(4)把反应产生的CO2全部导入U型管中;
(5)判断反应产生的CO2是否全部排出,并被U型管中的碱石灰吸收;
(6)
(7)取一定量试样放入烧杯中,加适量蒸馏水溶解,再向烧杯中滴加足量氢氧化钙溶液,将得到的沉淀过滤洗涤干燥后称量,根据方程式由沉淀质量算出碳酸钠质量,再除以样品质量.
点评:本题容易出错的地方是不设计干燥管B,忘记空气中的二氧化碳和水分也能够进入U型管中,会使结果偏大.
练习册系列答案
相关题目