题目内容

钛(Ti)和钛合金被认为是21世纪的重要金属材料。钛可通过如下反应制得:TiCl4 + 2MgTi + 2MgCl2,若要制得96 g 钛,计算至少需要镁的质量。

 

【答案】

96g

【解析】

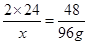
试题分析:解:设至少需要镁的质量为x。

TiCl+  2MgTi  +  2MgCl2

     48

x         96 g

x = 96 g

答:至少需要镁的质量为96 g。

考点:化学方程式的计算

 

练习册系列答案
相关题目

违法和不良信息举报电话:027-86699610 举报邮箱:58377363@163.com

精英家教网