题目内容

(6分)

氢氧化钠潮解后极易与二氧化碳反应而变质。为测定实验室里一瓶放置已久的烧碱中氢氧化钠的质量分数,某同学取5.3g烧碱样品放在小烧杯中,然后加入20g稀硫酸,恰好完全反应,反应后所得溶液的质量为24.86g。计算该烧碱样品中氢氧化钠的质量分数

 

80%

解析:

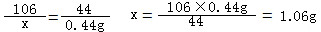
解:反应生成CO2的质量为5.3g+20g—24.86g=0.44g    (1分)

         设样品中Na2CO3的质量为x                      (1分)

Na2CO3+H2SO4=Na2SO4+H2O+CO2↑               (1分)

106                      44

x                      0.44g

   (2分)

烧碱样品中NaOH的质量分数为

答:烧碱样品中NaOH的质量分数是80%

注:其它合理解法请参照本标准给分

 

练习册系列答案
相关题目

违法和不良信息举报电话:027-86699610 举报邮箱:58377363@163.com

精英家教网