题目内容

汽油是混合物,我们可以把它近似看作C8H16,汽油密度约为0.7kg/L.
(1)C8H16的相对分子质量为            
(2)汽油中碳元素的质量分数约为                    (计算结果保留至0.1%);
(3)请依据化学方程式计算:一辆百公里油耗为10L的汽车每公里排放CO2多少克?(假设汽油燃烧充分)
(1)C8H16的相对分子质量为12×8+1×16=112.
(2)汽油中碳元素的质量分数约为100%=85.7%.
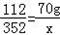
(3)解:汽车每公里消耗汽油的质量为:10L×0.7kg/L×100=0.07kg=70g
设70g汽油充分燃烧后产生的CO2质量为x
C8H16+12O28CO2+8H2O
112                            352
70g                              x    
        
    x=220g            
答:每公里排放CO2220g.
练习册系列答案
相关题目
26、空气是一种十分重要的天然资源.
(1)空气成分按体积计算,含量最多的是
N2
(填写化学式).
(2)工业上用分离液态空气的方法制备氧气,这一过程属于
物理
(填“物理”或“化学”)变化;实验室可通过多种途径制取氧气,如分解过氧化氢、加热高锰酸钾、电解水等,从降低能量消耗上思考,你选择的实验室制取氧气的方法是
分解过氧化氢

(3)如图所示装置可用于测定空气中氧气的含量,实验前在集气瓶内加入少量水,并做上记号.下列说法中正确的是
B
(填字母序号).
A.燃烧匙中的红磷可以换成硫或木炭
B.最终进入瓶中水的体积约为氧气的体积
C.燃烧匙中的红磷越多,瓶中的水位上升越高
D.本实验可以证明空气含有N2、O2、CO2和稀有气体
(4)酸雨是指pH<5.6的雨、雪等各种形式的大气降水,它主要是由含硫燃料(煤和石油)燃烧释放的二氧化硫造成的,其危害极大.某科技工作者经测定得出酸雨的pH大小与小麦减产幅度关系的一组数据如下表所示.

①根据数据判断,酸雨的酸性越
(填“强”或“弱“),小麦减产幅度越
(填”“大”或“小”).
②酸雨的形成主要是二氧化硫与水作用产生的亚硫酸(H2SO3)被空气中的氧气氧化为硫酸的缘故.该氧化反应的化学方程式为
2H2SO3+O2=2H2SO4

(5)保护空气,提倡“低碳”,减少温室效应,是我们必须关注的问题.科学家正在研究如图所示的二氧化碳新的循环体系.

从图中分析得出的下列结论中,正确的是
ACD
(填字母序号).
A.二氧化碳也是一种重要的资源
B.利用降温、加压将二氧化碳分离是化学变化
C.二氧化碳与氢气在复合催化剂下反应产物是混合物
D.液化石油气、汽油、甲醇等物质燃烧都有二氧化碳产生
26、空气是一种十分重要的天然资源.
(1)空气成分按体积计算,含量最多的是
N2
(填写化学式).
(2)实验室可通过多种途径制取氧气,如分解过氧化氢、加热高锰酸钾、电解水等,因为这三种物质都含有
O
元素(填元素符号);从降低能量消耗上思考,你选择的实验室制取氧气的方法是
分解过氧化氢

(3)保护空气,提倡“低碳”,减少温室效应,是我们必须关注的问题.科学家正在研究如图所示的二氧化碳新的循环体系.

从图中分析得出的下列结论中,正确的是
ACD
(填字母序号).
A.二氧化碳也是一种重要的资源  B.利用降温、加压将二氧化碳分离是化学变化
C.二氧化碳与氢气在复合催化剂下反应产物是混合物  D.液化石油气、汽油、甲醇等物质燃烧都有二氧化碳产生
(4)酸雨的形成主要是二氧化硫与水作用产生的亚硫酸(H2SO3)被空气中的氧气氧化为硫酸(H2SO4)的缘故.该氧化反应的化学方程式为
SO2+H2O═H2SO3;2H2SO3+O2═2H2SO4

(5)“绿色化学”的特点之一是“零排放”.一定条件下,一氧化碳和氢气可以按照不同比例反应,若只生成一种产物就能实现“零排放”,符合这一要求的产物是
A、B
(填字母序号).
A.甲醇(CH4O)                B.甲醛(CH2O)
C.乙醇(C2H6O)               D.乙醛(C2H4O)

(7分)空气是一种十分重要的天然资源。

(1)空气成分按体积计算,含量最多的是________(填写化学式)。

(2)实验室可通过多种途径制取氧气,如分解过氧化氢、加热高锰酸钾、电解水等,因为这三种物质都含有_________元素(填元素符号);从降低能量消耗上思考,你选择的实验室制取氧气的方法是_________________。

(3)保护空气,提倡“低碳”,减少温室效应,是我们必须关注的问题。科学家正在研究如下图所示的二氧化碳新的循环体系。

从图中分析得出的下列结论中,正确的是       (填字母序号)。

A.二氧化碳也是一种重要的资源       

B.利用降温、加压将二氧化碳分离是化学变化        

C.二氧化碳与氢气在复合催化剂下反应产物是混合物

D.液化石油气、汽油、甲醇等物质燃烧都有二氧化碳产生

(4)酸雨的形成主要是二氧化硫与水作用产生的亚硫酸(H2SO3)被空气中的氧气氧化为硫酸(H2SO4)的缘故。该氧化反应的化学方程式为                  

(5)“绿色化学”的特点之一是“零排放”。一定条件下,一氧化碳和氢气可以按照不同比例反应,若只生成一种产物就能实现“零排放”,符合这一要求的产物是             (填字母序号)。

A.甲醇(CH4O)    B.甲醛(CH2O)    C.乙醇(C2H6O)   D.乙醛(C2H4O)

 

违法和不良信息举报电话:027-86699610 举报邮箱:58377363@163.com

精英家教网