题目内容
在托盘天平两边各放一只等质量的烧杯,在两只烧杯里分别加入50g溶质质量分数为7.3%的稀盐酸,将天平调节至平衡;然后向左右两烧杯中分别加入一定质量的下列各组物质,充分反应后,天平发生偏转的是( )A.1.8g铝粉和1.8g铁粉
B.4.2g碳酸镁和2g硝酸银
C.5.6g铁粉和5.6g锌粉
D.10g碳酸钙和5.6g氧化钙
【答案】分析:因为加入的盐酸质量相等,所以需要判断两端加入一定量物质后增加质量是否相等,增加质量相等时天平能仍然保持平衡,不相等时天平发生偏转.可根据化学方程式,借助关系式和差量法进行分析比较.
解答:解:A、50g 7.3%的稀盐酸中HCl质量=50g×7.3%=3.65g
50g 7.3%的稀盐酸完全反应消耗金属铝和镁的质量分别为:
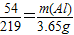
2Al~6HCl
54 219
m(Al) 3.65g

解之得 m(Al)=0.9g
Fe~2HCl
56 73
m(Fe)3.65g
=
解之得m(Fe)=2.8g
则金属铝未完全反应,铁不足,所以消耗盐酸量不同,放出氢气质量不相等;天平失去平衡;
B、硝酸银与盐酸反应不产生气体,因此增加的质量即为加入的硝酸银溶液质量2g;
而MgCO3与盐酸反应放出气体二氧化碳,
MgCO3 ~CO2
84 44
4.2 m(CO2)
解之得 m(CO2)=2.2g
所以加碳酸镁后烧杯质量增加质量为4.2-2.2=2g,所以天平仍然平衡.
C、50g 7.3%的稀盐酸完全反应消耗金属铁和锌的质量分别为:
Fe~2HCl
56 73
m(Fe) 3.65g
解之得 m(Fe)=2.8g
Zn~2HCl
65 73
m(Zn) 3.65g
解之得 m(Zn)=3.25g
则金属铁、锌均与稀盐酸没有反应完,盐酸少量,反应放出氢气质量相等;加入金属质量相等,天平平衡;
D、50g 7.3%的稀盐酸完全反应消耗碳酸钙的质量分别为x
CaCO3~2HCl
100 73
x 3.65g
x=5g,
碳酸钙过量,生成的气体由5g碳酸钙生成,
则生成的CO2的质量为
=2.2g,烧杯质量增加了10-2.2=7.8g
而氧化钙和盐酸反应不放出气体,所以增加5.6g,所以天平不平衡.
故选A、D
点评:加入物质充分反应后,天平一端增加的质量=加入固体质量-放出气体的质量,只有加入物质与放出气体质量均相等时,天平才能保持平衡.由于运算量比较大,所以对于有关化学方程式的计算是否熟练是解题的关键.
解答:解:A、50g 7.3%的稀盐酸中HCl质量=50g×7.3%=3.65g
50g 7.3%的稀盐酸完全反应消耗金属铝和镁的质量分别为:
2Al~6HCl
54 219
m(Al) 3.65g
解之得 m(Al)=0.9g
Fe~2HCl
56 73
m(Fe)3.65g
解之得m(Fe)=2.8g
则金属铝未完全反应,铁不足,所以消耗盐酸量不同,放出氢气质量不相等;天平失去平衡;
B、硝酸银与盐酸反应不产生气体,因此增加的质量即为加入的硝酸银溶液质量2g;
而MgCO3与盐酸反应放出气体二氧化碳,
MgCO3 ~CO2
84 44
4.2 m(CO2)
解之得 m(CO2)=2.2g
所以加碳酸镁后烧杯质量增加质量为4.2-2.2=2g,所以天平仍然平衡.
C、50g 7.3%的稀盐酸完全反应消耗金属铁和锌的质量分别为:
Fe~2HCl
56 73
m(Fe) 3.65g
解之得 m(Fe)=2.8g
Zn~2HCl
65 73
m(Zn) 3.65g
解之得 m(Zn)=3.25g
则金属铁、锌均与稀盐酸没有反应完,盐酸少量,反应放出氢气质量相等;加入金属质量相等,天平平衡;
D、50g 7.3%的稀盐酸完全反应消耗碳酸钙的质量分别为x
CaCO3~2HCl
100 73
x 3.65g
x=5g,
碳酸钙过量,生成的气体由5g碳酸钙生成,
则生成的CO2的质量为
而氧化钙和盐酸反应不放出气体,所以增加5.6g,所以天平不平衡.
故选A、D
点评:加入物质充分反应后,天平一端增加的质量=加入固体质量-放出气体的质量,只有加入物质与放出气体质量均相等时,天平才能保持平衡.由于运算量比较大,所以对于有关化学方程式的计算是否熟练是解题的关键.
练习册系列答案
相关题目
在托盘天平两边各放一只烧杯,调节至平衡.在两烧杯中分别注入等质量等浓度且足量的稀硫酸,在左烧杯中投入少量的锌粒,在右烧杯中投入相同质量的镁条,锌粒和镁条完全溶解后,天平的指针( )
| A、偏左 | B、偏右 | C、指向中间 | D、无法判断 |