题目内容

请根据下图所示的实验过程和提供的数据(步骤②产生的气体全部逸出),回答下列问题:

(1)实验所用稀盐酸的溶质的质量分数为                     

(2)计算原混合物样品中CaCl2的质量(写出计算过程)。

1)7.3%

(2)解:反应中生成CO2的质量为:12g+100g+100g-207.6g= 4.4g .

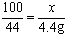
            设原混合物中 CaCO3的质量为x

CaCO3+ 2HCl == CaCl2+ H2O + CO2↑ 

            100                        44  

             x                         4.4g

              

 

 

x = 10g  .

原混合物样品中CaCl2的质量为:12g-10g= 2g ..

        答:原混合物样品中CaCl2的质量为2g。

练习册系列答案
相关题目

违法和不良信息举报电话:027-86699610 举报邮箱:58377363@163.com

精英家教网