题目内容

将一定量的乙醇(C2H5OH)和O2放入一密闭容器中引燃,测得反应前后各物质的质量如下表:
物质乙醇氧气二氧化碳一氧化碳
反应前的质量/g46
反应后的质量/gY4428
下列判断错误的是( )
A.表中Y的值为54
B.在该反应中,生成水和二氧化碳的分子个数比为3:2
C.该反应是氧化反应
D.若起始时氧气的质量为96g,则无O生成
【答案】分析:根据质量守恒定律可知:反应后质量减少的物质是反应物,质量增加的物质是生成物,通过表中各值可知,乙醇和氧气为反应物,水、二氧化碳、一氧化碳为生成物,乙醇没有充分燃烧,反应后生成了一氧化碳,据此可写出化学方程式为:C2H5OH+3O2CO2+CO+3H2O,根据化学方程式可知此反应为氧化反应,可以计算Y值,反应恰好完全反应时氧气的质量,以及反应中,水和二氧化碳的分子个数比.
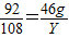
解答:解:A、根据化学方程式2C2H5OH+5O22CO2+2CO+6H2O
                       92   160        88  56  108                      
                       46g    X                 Y
                     ; Y=54g;
故A正确.        
B、由化学方程式可知,该反应中水和二氧化碳的分子个数比为:3:1,故B错误;
C、该反应为乙醇和氧的反应,故为氧化反应,故C正确;
D、该反应消耗氧气96g,若起始时氧气的质量为96g,则无氧生成正确,故D正确;
故选B.
点评:本题是运用化学中的基本思想质量守恒思想,通过归纳不同物质或不同变化过程中相同点和不同点有效地寻找出它们之间的内在联系以及融合点和嫁接点,从而培养了学生的创新思维能力.
练习册系列答案
相关题目

违法和不良信息举报电话:027-86699610 举报邮箱:58377363@163.com

精英家教网