题目内容

盐水选种是我国古代劳动人民发明的一种巧妙的挑选种子的方法.农业生产上常用质量分数为15%﹣20%的氯化钠溶液来选种.

(1)要配置150kg16%的氯化钠溶液,计算应称取氯化钠的质量.

(2)选种进行一段时间后,农技员估计溶液和溶质质量分数都有所减少,他取出50g氯化钠溶液,加入过量AgNO3溶液,得到沉淀14.35g,计算氯化钠溶液中溶质的质量分数.

(3)若此时氯化钠溶液的质量只剩下100kg,要使溶液质量和溶质质量分数都恢复到(1)中的状态,计算需要加入的氯化钠和水的质量.

 

【答案】

(1)应称取氯化钠的质量为24kg.(2)氯化钠溶液中溶质的质量分数为11.7%.

(3)需要加入的氯化钠的质量为12.3kg,加水的质量为37.7kg.

【解析】

试题分析:(1)氯化钠的质量:150kg×16%=24kg

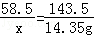
(2)设溶液中氯化钠的物质的量为x,

AgNO3+NaCl=AgCl↓+NaNO3      58.5  143.5

x    14.35g

x=5.85g

氯化钠溶液中溶质的质量分数=×100%=11.7%

(3)需要加入氯化钠的物质的量:24kg﹣100kg×11.7%=12.3kg

需要加入水的质量:150kg﹣100kg﹣12.3kg=37.7kg

考点:根据化学反应方程式的计算;一定溶质质量分数的溶液的配制;有关溶质质量分数的简单计算.

 

练习册系列答案
相关题目

违法和不良信息举报电话:027-86699610 举报邮箱:58377363@163.com

精英家教网