题目内容

氮化铝(AlN)被广泛应用于电子工业、陶瓷工业等领域.在一定条件下,氮化铝可通过如下反应制得:Al2O3+N2+3C═2AlN+3CO,现欲制备12.3t氮化铝,需要参加反应的氧化铝(Al2O3)质量是多少?

分析:

根据反应的化学方程式,确定反应中氮化铝与氧化铝的质量关系,利用这一质量关系可由制得氮化铝的质量计算出参加反应氧化铝的质量.

解答:

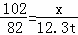
解:设需要参加反应的氧化铝(Al2O3)质量是X.

Al2O3+N2+3C=2AlN+3CO

102          82

 x         12.3t    

根据:解得x=15.3t.

答:需要参加反应的氧化铝(Al2O3)质量是15.3t.

 

练习册系列答案
相关题目
26、氮化铝(AlN)是一种新型无机材料,广泛应用与集成电路生产领域.某氮化铝中含有碳或氧化铝杂质,现用图Ⅰ中的一些装置来进行检验,使氮化铝样品和NaOH溶液反应AlN+NaOH+H2O=NaAlO2+NH3↑,根据反应中所生成氨气的体积来测定样品中的氮化铝的质量分数,并根据实验现象来确定杂质的成分(实验中导管体积忽略不计)

(1)实验有关操作为:a、往锥形瓶中放入适量的AlN样品:b、从分液漏斗往锥形瓶中加入过量的浓NaOH;c、检验装置的气密性;d、测定收集到水的体积.正确的操作顺序为
c a b d

(2)本试验中检查装置气密性的方法是
关闭分液漏斗活塞,用水紧握握热锥形瓶,广口瓶中右侧导管水柱上升,松手后水柱回落,证明气密性好

(3)广口瓶中的试剂X可选用
C
(填选项的标号).
A  汽油    B  酒精    C  植物油    D  CCl4
(4)广口瓶的液体没有装满(上方留有少量空间),实验测得NH3的体积将
不变
(填偏大、偏小或不变).
(5)有人改用图Ⅱ装置进行同样实验,通过测定烧杯中硫酸的增重来确定样品中AlN的质量分数.你认为是否可行?
不可行
(填入“可行”、“不可行”).原因是
氨气极易被吸收,发生倒吸现象
,改进的方法为
烧杯导管的末端接一倒扣的漏斗,将漏斗的边缘刚好没入液面以下来吸收氨气
氮化铝(AlN)是一种新型无机材料.某氮化铝样品中含有碳或氧化铝杂质.已知氮化铝和NaOH溶液能反应,其反应方程式为:①AlN+NaOH+H2O=NaAlO2+NH3↑,②氧化铝也能与氢氧化钠溶液反应而全部溶解,但不生成气体.
现用图Ⅰ中的一些装置来进行相关实验,根据反应中所生成氨气的体积来测定样品中的氮化铝的质量分数,并根据实验现象来确定杂质的成分(实验中导管体积忽略不计)

(1)指出图Ⅰ中仪器的名称:A
分液漏斗
分液漏斗
; B
锥形瓶
锥形瓶

(2)实验操作为:a、往B中放入适量的AlN样品:b、A往锥形瓶中加入过量的浓NaOH;
c、检验装置气密性;d、测定收集到水的体积.正确的操作顺序为
c、a、b、d
c、a、b、d
(用a、b、c、d字母表示).
(3)本试验中检查装置气密性的方法是
关闭分液漏斗活塞,微热锥形瓶,广口瓶中右侧导管水柱上升,恒温时水柱并不回落
关闭分液漏斗活塞,微热锥形瓶,广口瓶中右侧导管水柱上升,恒温时水柱并不回落

(4)广口瓶中的试剂X可选用
食用油
食用油
(填生活中常见的物质名称).广口瓶的液体没有装满(上方留有少量空间),实验测得NH3的体积将
不变
不变
(填偏大、偏小或不变).
(5)实验结束后,若观察到B中还有固体,则样品中含有的杂质是

(6)若实验中测得样品的质量为2.56g,氨气的体积为1.12L(标况下),则样品中AlN的质量分数为
80.1%
80.1%
(AlN的相对分子质量为41,每22.4L氨气质量为17g).
(7)有人改用图Ⅱ装置进行同样实验,通过测定烧杯中硫酸的增重来确定样品中AlN的质量分数.你认为是否可行?
不可行
不可行
(填入“可行”、“不可行”),若不可行需说 明原因
氨气极易被吸收,发生倒吸现象
氨气极易被吸收,发生倒吸现象

违法和不良信息举报电话:027-86699610 举报邮箱:58377363@163.com

精英家教网