题目内容


硅酸钠(Na2SiO3)是我国优先发展的精细化工产品,工业制备的反应为:2NaOH+SiO2═Na2SiO3+H2O.

现以120t SiO2为原料,与足量的NaOH溶液反应.计算理论上得到硅酸钠的质量.


【考点】根据化学反应方程式的计算.

【分析】根据反应的化学方程式,利用石英砂中SiO2的质量计算反应可生成硅酸钠的质量.

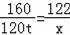
【解答】解:设生成硅酸钠的质量为x

2NaOH+SiO2═Na2SiO3+H2O

       60    122

      120t    x

x=244t

答:理论上得到硅酸钠的质量为244t.


练习册系列答案
相关题目

违法和不良信息举报电话:027-86699610 举报邮箱:58377363@163.com

精英家教网