题目内容
在相同温度和相同体积的条件下,气体压强(p)与气体分子数目(n)成正比关系(p=kn).若ag碳和bg氧气放入一密闭容器中,测得容器内的气体压强为p,然后,提供一定条件使容器内的物质发生充分反应,待温度复原时,测得容器内的气体压强仍然为p,则a和b的关系可能为( )A.a=
B.a>b
C.a<
D.a>
【答案】分析:由反应前后压强不变,可知氧气正好完全反应或过量都可以.根据方程式:C+O2=CO2 列式计算:
即可.
解答:解:若ag碳和bg氧气放入一密闭容器中,测得容器内的气体压强为p,然后,提供一定条件使容器内的物质发生充分反应,待温度复原时,测得容器内的气体压强仍然为p,则氧气正好完全反应或过量都可以.
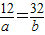
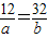
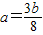
当恰好反应时,根据方程式:C+O2=CO2
列式计算:
得:
当氧气过量时,则为
故选AC.
点评:本题考查碳的化学性质.碳能与氧气反应生成二氧化碳,方程式为:C+O2=CO2.
解答:解:若ag碳和bg氧气放入一密闭容器中,测得容器内的气体压强为p,然后,提供一定条件使容器内的物质发生充分反应,待温度复原时,测得容器内的气体压强仍然为p,则氧气正好完全反应或过量都可以.
当恰好反应时,根据方程式:C+O2=CO2
列式计算:
得:
当氧气过量时,则为
故选AC.
点评:本题考查碳的化学性质.碳能与氧气反应生成二氧化碳,方程式为:C+O2=CO2.
练习册系列答案
相关题目
在相同温度和相同体积的条件下,气体压强(p)与气体分子数目(n)成正比关系(p=kn).若ag碳和bg氧气放入一密闭容器中,测得容器内的气体压强为p,然后,提供一定条件使容器内的物质发生充分反应,待温度复原时,测得容器内的气体压强仍然为p,则a和b的关系可能为( )
A、a=
| ||
| B、a>b | ||
C、a<
| ||
D、a>
|
在相同温度和相同体积的条件下,气体压强(P)与气体分子数目(n)成正比关系(P=kn).若ag碳和bg氧气放入一密闭容器中,测得容器内气体压强为P,然后,提供一定条件使容器内物质发生充分反应,待温度复原时,测得容器内气体压强仍为P,则a与b的关系为( )
A、a≤
| ||||
B、a<
| ||||
C、a>
| ||||
D、
|