题目内容
老师在实验室制取二氧化碳时,称取含杂质的石灰石20 g ,加入50 g 稀盐酸,恰好完全反应。实验完成后经过滤、洗涤、干燥,得到固体 10 g ,假设石灰石中只有碳酸钙能与稀盐酸反应,求:
(1) 参加反应的碳酸钙的质量为____
(2) 所用稀盐酸的溶质质量分数是多少?
(1) 参加反应的碳酸钙的质量为____
(2) 所用稀盐酸的溶质质量分数是多少?
(1)10 g
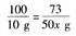
(2)解:设所用稀盐酸的溶质质量分数为x。
CaCO3+2HCl==CaCl2+H2O+CO2↑
100 73
10 g 50xg
解得x=14. 6%
答:所用稀盐酸的溶质质量分数为14. 6%。
(2)解:设所用稀盐酸的溶质质量分数为x。
CaCO3+2HCl==CaCl2+H2O+CO2↑
100 73
10 g 50xg
答:所用稀盐酸的溶质质量分数为14. 6%。
练习册系列答案
相关题目
化学兴趣小组在实验室用过氧化氢溶液和催化剂二氧化锰粉末采用下图来制取氧气,但对老师提供的一瓶标签模糊的“■■水”产生了争议,小明认为是蒸馏水,小华认为是俗称“双氧水”的过氧化氢溶液.
(1)请你帮助他们检验该瓶试剂.
(2)装置中仪器a是分液漏斗,通过活塞的“开”、“关”可以随时滴加过氧化氢溶液,他们能不能得到平稳的氧气流? .
(3)为了得到干燥的氧气他们在老师的指导下用浓硫酸除去氧气中混有的水蒸气,设计了如下图所示的装置图,请你在方框中添上带橡皮塞的玻璃管.

(4)小华同学想继续“探究红砖粉作为过氧化氢溶液分解反应中的催化剂”这一命题,她设计并完成了下表所示的探究实验:
①在小华的探究实验中,实验一和实验二起的作用是 ;
②小明同学认为仅由上述实验还不能完全得出表内“总结”,他补充设计了两个方面的探究实验,最终完成了对“命题”的实验证明.
第一方面的实验操作中包含了两次称量,其目的是: ;第二方面的实验是需要证明 .
③写出双氧水在红砖粉的作用下分解的符号表达式 .
(1)请你帮助他们检验该瓶试剂.
| 操作步骤 | 现象 | 结论 |
(3)为了得到干燥的氧气他们在老师的指导下用浓硫酸除去氧气中混有的水蒸气,设计了如下图所示的装置图,请你在方框中添上带橡皮塞的玻璃管.
(4)小华同学想继续“探究红砖粉作为过氧化氢溶液分解反应中的催化剂”这一命题,她设计并完成了下表所示的探究实验:
| 实验操作 | 实验现象 | 实验结论或总结 | ||
| 各步骤结论 | 总结 | |||
| 实验一 | 在一支试管中倒入一定量的过氧化氢溶液,伸入带火星的木条. | 有极少量的气泡,木条不复燃 | 过氧化氢在常温下能产生少量氧气 | 红砖粉是过氧化氢分解的催化剂 |
| 实验二 | 加入少量红砖粉,伸入带火星木条. | 木条复燃 | 过氧化氢溶液和红砖粉混合能____产生氧气. | |
②小明同学认为仅由上述实验还不能完全得出表内“总结”,他补充设计了两个方面的探究实验,最终完成了对“命题”的实验证明.
第一方面的实验操作中包含了两次称量,其目的是:
③写出双氧水在红砖粉的作用下分解的符号表达式
化学实验室开放日,小池和小航同学在药品柜中发现一瓶淡黄色粉末,瓶外贴有“过氧化钠(Na202)”的标签,这种外观与硫磺相似的物质到底有哪些性质?他们十分好奇,为了弄清它的有关性质,在老师的指导下,他们进行了以下探究活动:
【查阅资料】过氧化钠(Na202)在常温下能与水反应生成氢氧化钠和氧气;还能与二氧化碳反
应生成碳酸钠和氧气,在航空航天和潜水艇中常用作供氧剂.
[设计实验](1)过氧化钠与水反应;(2)过氧化钠与二氧化碳反应.
[进行实验]
(交流与讨论]
(1)通过实验,小池和小航同学知道了过氧化钠可用于航空航天和潜水艇中作为供氧剂的
主要原因是 .
(2)实验室可用双氧水和二氧化锰制取氧气,该反应化学方程式为 ,其发生装置和收集装置的装配,应选用的仪器有:带导管的双孔塞、玻璃片以及下图所示中的 (填标号)等.氧气的收集方法有 种.

(3)实验室制取气体的发生装置和收集装置类型的确定应根据 (填标号)
a.化学药品的状态
b.发生化学反应的条件
c.生成气体的密度和在水中的溶解性
(4)实验室选用上述仪器还可用来制取的气体有 (写一种).
【查阅资料】过氧化钠(Na202)在常温下能与水反应生成氢氧化钠和氧气;还能与二氧化碳反
应生成碳酸钠和氧气,在航空航天和潜水艇中常用作供氧剂.
[设计实验](1)过氧化钠与水反应;(2)过氧化钠与二氧化碳反应.
[进行实验]
| 实验步骤 | 实验现象 | 结 论 |
| (1)①在试管中加入适量过氧化 钠,再加入足量水 ②用 ③再向试管中加入 |
①黄色粉末溶解,有气泡产生 ②木条复燃 ③ |
a.产物 填“有”或 “没有”)氧气 b.产物有氢氧化钠 写出过氧化钠与水反应的 化学方程式: |
| (2)①向一定量的过氧化钠中通人 适量的二氧化碳,再用实验(1)② 的方法进行实验 ②向上述充分反应后的固体产物 中加入稀盐酸 ③将生成的气体通人 |
①木条复燃 ②有气泡产生 ③溶液变浑浊 |
a.气体产物与实验(1)相同 b.实验①中 或“没有”)碳酸钠生成 写出碳酸钠与稀盐酸反应 的化学方程式: |
(1)通过实验,小池和小航同学知道了过氧化钠可用于航空航天和潜水艇中作为供氧剂的
主要原因是
(2)实验室可用双氧水和二氧化锰制取氧气,该反应化学方程式为
(3)实验室制取气体的发生装置和收集装置类型的确定应根据
a.化学药品的状态
b.发生化学反应的条件
c.生成气体的密度和在水中的溶解性
(4)实验室选用上述仪器还可用来制取的气体有
化学兴趣小组在实验室用过氧化氢溶液和催化剂二氧化锰粉末采用下图来制取氧气,但对老师提供的一瓶标签模糊的“■■水”产生了争议,小明认为是蒸馏水,小华认为是俗称“双氧水”的过氧化氢溶液.
(1)请你帮助他们检验该瓶试剂.
| 操作步骤 | 现象 | 结论 |
(3)为了得到干燥的氧气他们在老师的指导下用浓硫酸除去氧气中混有的水蒸气,设计了如下图所示的装置图,请你在方框中添上带橡皮塞的玻璃管.
(4)小华同学想继续“探究红砖粉作为过氧化氢溶液分解反应中的催化剂”这一命题,她设计并完成了下表所示的探究实验:
| 实验操作 | 实验现象 | 实验结论或总结 | ||
| 各步骤结论 | 总结 | |||
| 实验一 | 在一支试管中倒入一定量的过氧化氢溶液,伸入带火星的木条. | 有极少量的气泡,木条不复燃 | 过氧化氢在常温下能产生少量氧气 | 红砖粉是过氧化氢分解的催化剂 |
| 实验二 | 加入少量红砖粉,伸入带火星木条. | 木条复燃 | 过氧化氢溶液和红砖粉混合能____产生氧气. | |
②小明同学认为仅由上述实验还不能完全得出表内“总结”,他补充设计了两个方面的探究实验,最终完成了对“命题”的实验证明.
第一方面的实验操作中包含了两次称量,其目的是:______;第二方面的实验是需要证明______.
③写出双氧水在红砖粉的作用下分解的符号表达式______.