61 如图是高等动物某结构模式图,请据图回答:(11分)

(1)该结构名称为     ,是由                构成。

(2)兴奋在神经元之间的传递是通过    来实现的。⑤只存在于      ,所含的化学物质称为递质。当兴奋由一个神经元的轴突传到突触小体时,突触小体释放递质,引起另一个神经元的细胞体或    产生         ,因此神经冲动在神经元之间的传递是     的。

(3)结构①与结构⑤     的形成分别与细胞结构中的       (两种细胞器)有关。

62、(9分)食物链、食物网是生态系统的营养结构,生态系统的物质循环和能量流动是沿着此渠道进行的。假如在某温带草原上存在如下图所示的食物网.请分析回答:

(1)该生态系统的成分中,草属于     ,猫头鹰属于       ,兔处于第 营养级。

(2)该食物网的各种生物中,含有能量最多的是       .该生态系统的能量最终来源是          

(3)在生态系统的物质循环中,碳元素以       形式在生物群落与无机环境中进行循环,生产者通过       作用使碳元素进入到生物群落中,各种生物通过          作用使碳元素回到无机环境中。

(4)已知各营养级之间的能量转化效率为10%,若一种生物摄食两种下一营养级的生物,且它们被摄食的生物量相等,则猫头鹰每增加10千克生物量,需消耗生产者       千克。

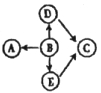
63(10分)右图表示某个生态系统中的食物网简图,请据图回答:

(1)该食物网中肉食动物是______________,含能量最多的是______________,A生物与E生物的关系________________。

(2)若B生物种群总能量为7.1×109kJ,A生物种群总能量为2.3×108kJ,从理论上计算C储存的总能量最少为_______kJ。在该生态系统的能量流动过程中B生物种群的能量除了图中所示的分配外,其余能量的去向还有________________________。

(3)若A种群生物量减少,E和D种群将如何变化? ________________________。

(4)下图是食物链“树→昆虫→食虫鸟”的两个金字塔。其中左边为___________金字塔,右边为____________金字塔。两个金字塔不同的原因是:___________________________。(2分)

64(10分)下图是甲、乙两位同学设计并制作的小生态瓶,瓶中有水藻、以水藻为食的小鱼、螺蛳、池泥、河水。都放在适宜的环境中。结果是甲同学的生态瓶(甲)中的水藻和小鱼很快就死了,而乙同学的生态瓶(乙)中的水藻和小鱼却生活了很长一段时间。请问:

(1)两位同学制作的小生态瓶合理吗?为什么?(只考虑乙瓶)

乙:_____________________________________________。(2分)

(2)小生态瓶必须从外界获得的能量是___________。

(3)小生态瓶中小生态系统的抵抗力稳定性非常脆弱,主要原因是_____________________________________________________________。(2分)                                                                                                                                                                                                                                                                                                                                                                                                                                                                                                                                                                     

(4)一个比较稳定的小生态瓶,其所含能量最多的生物应是_______________________。

(5)该生态系统中有分解者吗? ___________它存在于哪里? ___________

(6)欲证明生产者在该生态系统中的作用应如何设计实验?

_____________________________________________。(2分

 0  193987  193995  194001  194005  194011  194013  194017  194023  194025  194031  194037  194041  194043  194047  194053  194055  194061  194065  194067  194071  194073  194077  194079  194081  194082  194083  194085  194086  194087  194089  194091  194095  194097  194101  194103  194107  194113  194115  194121  194125  194127  194131  194137  194143  194145  194151  194155  194157  194163  194167  194173  194181  447348 

违法和不良信息举报电话:027-86699610 举报邮箱:58377363@163.com

精英家教网