网址:http://m.1010jiajiao.com/timu3_id_434123[举报]
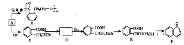
(1)图示中没有出现的反应类型有
A.取代反应 B.加成反应 C.聚合反应
D.消去反应 E.氧化反应 F.还原反应
(2)E的结构简式为
(3)写出含有-COO-结构的A的所有同分异构体的结构简式
(4)写出I+H→J的化学方程式
(5)K与F互为同分异构体且具有相同的官能团,则K与浓硫酸共热生成的六元环状化合物的结构简式为
已知有机物A—F具有如下的转化关系。根据要求填空:
![]()
(1)A中的含氧官能团有___________________(写名称),A的分子式为______________。
(2)A转化生成B的反应类型是_________________。
(3)C转化生成D的试剂和条件_________________。
(4)F在酸性条件下水解的化学方程式为_________________。
(5)A的同分异构体R,具有如图所示的性质。请写出符合条件的R的同分异构体的结构简式(任写两种)。
![]()
查看习题详情和答案>>
已知有机物A—F具有如下的转化关系。根据要求填空:![]()
(1)A中的含氧官能团有___________________(写名称),A的分子式为______________。
(2)A转化生成B的反应类型是_________________。
(3)C转化生成D的试剂和条件_________________。
(4)F在酸性条件下水解的化学方程式为_________________。
(5)A的同分异构体R,具有如图所示的性质。请写出符合条件的R的同分异构体的结构简式(任写两种)。![]()
(1)A中的含氧官能团有___________________(写名称),A的分子式为______________。
(2)A转化生成B的反应类型是_________________。
(3)C转化生成D的试剂和条件_________________。
(4)F在酸性条件下水解的化学方程式为_________________。
(5)A的同分异构体R,具有如图所示的性质。请写出符合条件的R的同分异构体的结构简式(任写两种)。
(19分)
Ⅰ:现有CH4、C2H4、C2H2、C2H6、C3H8五种有机物,回答下列问题:
⑴质量相同时:在相同状况下体积最大的是__ ____,完全燃烧时消耗O2的量最多的是__ __,生成CO2最多的是___ _,生成水最多的是___ ___。
⑵同温同压同体积时,五种物质完全燃烧消耗O2的量最多的是__
Ⅱ:有机化学中的反应类型较多,将下列反应归类(填序号)。
①乙苯的制备:![]()
②乙烷在空气中燃烧③乙烯使溴的四氯化碳溶液褪色④乙烯使酸性高锰酸钾溶液褪色⑤由乙烯制聚乙烯⑥甲烷与氯气在光照的条件下反应⑦溴乙烷和氢氧化钠的乙醇溶液共热⑧由甲苯制取TNT
(1)其中属于取代反应的是 ;
属于氧化反应的是 ;属于加成反应的是 ;
属消去反应的是 属于聚合反应的是
(2)写出⑦和⑧的化学方程式
⑦
⑧
Ⅲ:医药阿斯匹林的结构简式如图1所示:
![]()
图1 图2
试根据阿斯匹林的结构回答;
⑴阿斯匹林看成酯类物质,口服后,在胃肠酶的作用下,阿斯匹林发生水解反应,生成A和B 两种物质。其中A的结构简式如图2所示,则B的结构简式为 ;B中含有的官能团名称是 。
⑵阿斯匹林跟NaHCO3同时服用,可使上述水解产物A与NaHCO3反应,生成可溶性盐随尿液排出,此可溶性盐的结构简式是
⑶写出阿斯匹林与足量氢氧化钠溶液共热的化学反应方程式