摘要: 下列说法不正确的 ( ) A.甲烷是一种难溶于水的气体 B.天然气是一种高效.低耗.污染小的清洁能源 C.甲烷分子是一种对称的正四面体结构.四个C-H键强度相同 D.甲烷不与任何物质反应
网址:http://m.1010jiajiao.com/timu3_id_168964[举报]
科学家在海洋中发现了一种冰状物质可燃冰?其有效成分为甲烷,下列说法不正确的是( )
查看习题详情和答案>>
| A.甲烷是烃类物质中相对分子质量最小的物质 |
| B.点燃甲烷前,不用检验其纯度 |
| C.甲烷难溶于水 |
| D.可燃冰是一种极具潜力的能源 |
科学家在海洋中发现了一种冰状物质可燃冰,其有效成分为甲烷,下列说法不正确的是
[ ]
A.甲烷是烃类物质中相对分子质量最小的物质
B.点燃甲烷前,不用检验其纯度
C.甲烷难溶于水
D.可燃冰是一种极具潜力的能源
查看习题详情和答案>>
B.点燃甲烷前,不用检验其纯度
C.甲烷难溶于水
D.可燃冰是一种极具潜力的能源
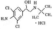
盐,是白色或类白色的结晶粉末,无臭,熔点161℃,微溶于丙酮,不溶于乙醚;其结构简式如右.则下列有关说法正确的是( )
| A、该化合物的分子式C12H18Cl2N2O?HCl | B、1mol的该化合物能与2mol的NaOH反应 | C、该化合物难溶于水 | D、该化合物受热易分解,所以只要将猪肉长时间焖煮即可安全食用 |
2011年央视3·15特别节目《“健美猪”真相》的报道,将我
国最大肉制品加工企业双汇集团卷入“瘦肉精”漩涡之中。盐酸克伦特罗(即瘦肉精的一种)学名7 – [2 – 甲基丙烷 – 2 – 亚氯基 – 甲基] – 4 – 氨基 – 3,5 – 二氯苯甲醇盐酸盐,是白色或类白色的结晶粉末,无臭,熔点161℃,微溶于丙酮,不溶于乙醚;其结构简式如右。则下列有关说法正确的是 ( )
| A.该化合物的分子式C12H18Cl2N2O·HCl |
| B.1mol的该化合物能与2mol的NaOH反应 |
| C.该化合物难溶于水 |
| D.该化合物受热易分解,所以只要将猪肉长时间焖煮即可安全食用 |